Предмет: Математика,
автор: Аноним
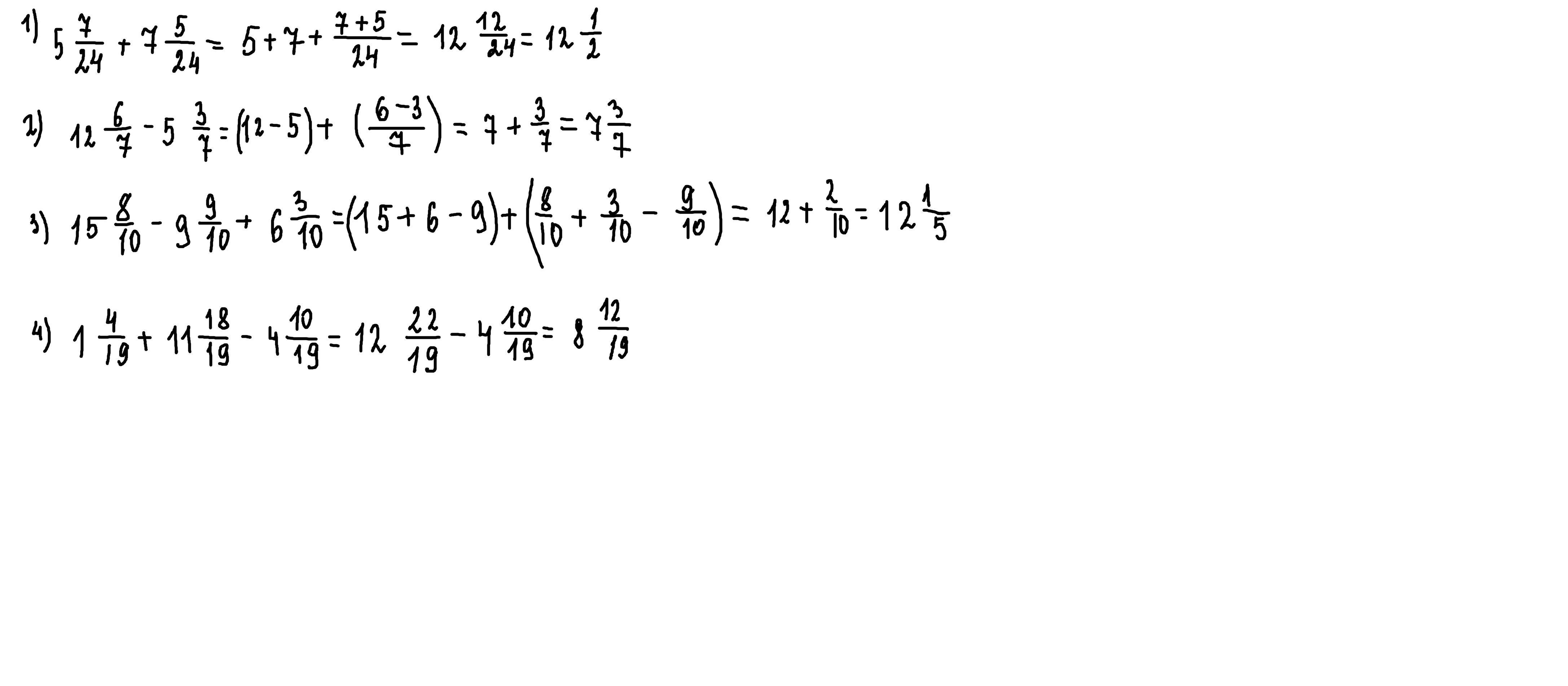
1) 5 7/24 + 7 5/24. 2) 12 6/7-5 3/7. 3) 15 8/10-9 9/10+6 3/10. 4) 1 4/19+11 18/19-4 10/19. дуже потрібно, даю 20 балів!!! яу розписати?
Ответы
Автор ответа:
0
Ответ:
На фотографии
Пошаговое объяснение:
Сначала складываем/отнимаем целые части, а после производим действия в числителях. При надобности дроби в финальном ответе сокращаем
Приложения:
Автор ответа:
1
Ответ:
Пошаговое объяснение:
решение внизу
первые расписала подробно,4 уже не стала,надеюсь все понятно.
Приложения:
Похожие вопросы
Предмет: Русский язык,
автор: North4151
Предмет: Математика,
автор: lub130111
Предмет: Математика,
автор: eeegdy166
Предмет: Русский язык,
автор: sabrikovvruslan
Предмет: Українська література,
автор: ovshtein228