Предмет: Математика,
автор: Аноним
люди пожалуйста, пожалуйста
Приложения:
Ответы
Автор ответа:
1
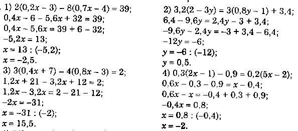
на фотографии ответы
Приложения:
Автор ответа:
1
Ответ:
Пошаговое объяснение:
Приложения:
Похожие вопросы
Предмет: Английский язык,
автор: davudkonop
Предмет: Английский язык,
автор: matiazhkristina2005
Предмет: Математика,
автор: skobickih
Предмет: Музыка,
автор: malchikvarfeysa