Предмет: Алгебра, автор: Chtorty

Дано:(аn) - арифметична прогресія ;(an): 90;80;70...; -60 Знайти: Sn

Ответы

Автор ответа: Warlock1
1

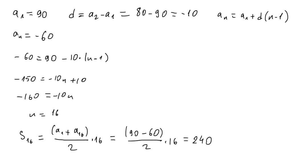
Ответ:

240

Объяснение:

Приложения:
Похожие вопросы
Предмет: История, автор: taraday1803
Про яку країну йдеться?
Повернувшись після тривалої відсутності, Карл нака зав, щоб з'явилися до нього хлопчики, яких він доручив (учителю) Клименту. 1 представили йому свої листи та вірші. Діти середнього та нижчого стану принесли твори, підсолоджені всіма приправами мудрості, знатні ж пред ставили убогі та безглузді Тоді мудрий Карл відділив тих, хто добре працював, 1 звернувся до них з такими словами «Я дуже вдячний вам що ви намагалися в міру своїх сил виконати мій наказ длявашої ж користі. Старайтеся досягти досконалості, і я дам вам чудові єпископства та монастирі, і ви завжди будете в моїх очах людьми, гідними поваги. Повернувши потім своє сповнене великого осуду облич- чя до тих, хто стояв ліворуч, він кинув їм грізні слова: «Ви, синки знатних, ви, розпещені красунчики! Розраховуючи па своє походження і статок, ви знехтували моїм повелін- лям і своєю доброю славою. Якщо ви негайно не надолужи- те попередню безтурботність невтомною старанністю, ніко- ли ніякої милості не дочекаєтеся ви від Карла. ​
Предмет: Алгебра, автор: liza2575