Предмет: Алгебра,
автор: sirenkooksana03
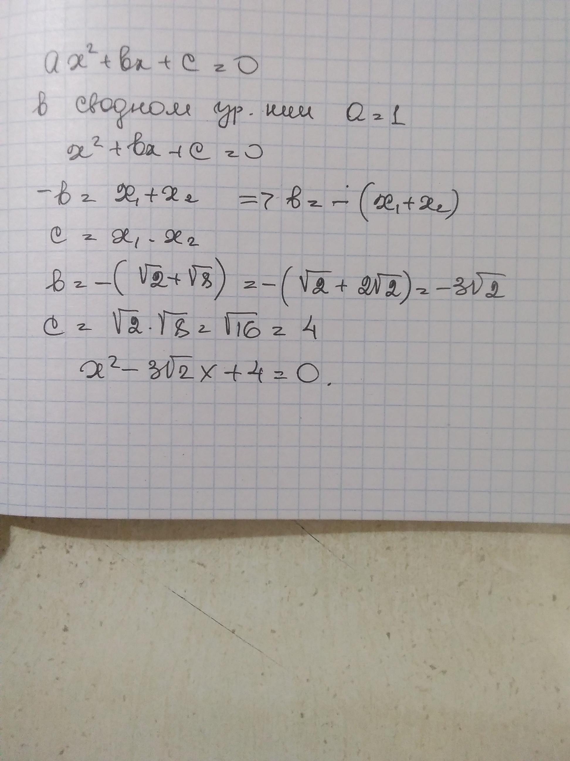
Скласти зведене квадратне рівняння, якщо x перший=√2,x другий=√8
Ответы
Автор ответа:
0
Смотри......................
Приложения:
Похожие вопросы
Предмет: Математика,
автор: demcenkom42
Предмет: Другие предметы,
автор: zazhirenkobogdan
Предмет: Обществознание,
автор: Nonamee707
Предмет: Українська мова,
автор: IilonkaG
Предмет: Русский язык,
автор: Аноним