Предмет: Алгебра, автор: Nola5743

ПОМОГИТЕ ПОЖАЛУЙСТА С РЕШЕНИЕМ!
Доказать тождества
(sin 160°+ sin 40°) * (sin 140° + sin 20°) + (sin 50° - sin 70°) * (sin 130° - sin 110°) = 1

Ответы

Автор ответа: 101110zzzzzzz
0

Ответ:

Для доказу тождества використаємо формули синусів:

sin (a + b) = sin a cos b + cos a sin b

sin (a - b) = sin a cos b - cos a sin b

1. Перетворимо ліву частину тождества:

(sin 160°+ sin 40°) * (sin 140° + sin 20°) + (sin 50° - sin 70°) * (sin 130° - sin 110°)

= [sin 160° * sin 140° + sin 160° * sin 20° + sin 40° * sin 140° + sin 40° * sin 20°] + [sin 50° * sin 130° - sin 50° * sin 110° - sin 70° * sin 130° + sin 70° * sin 110°]

2. Застосуємо формули синусів:

sin (a + b) = sin a cos b + cos a sin b

sin (a - b) = sin a cos b - cos a sin b

sin 160° * sin 20° = sin (90° + 70°) * sin (90° - 50°) = (cos 70° * cos 50° - sin 70° * sin 50°) * (cos 50° * cos 70° + sin 50° * sin 70°) = cos^2 70° - sin^2 50°

sin 40° * sin 140° = sin (90° - 50°) * sin (90° + 50°) = (cos 50° * cos 50° + sin 50° * sin 50°) * (cos 50° * cos 50° - sin 50° * sin 50°) = cos^2 50° - sin^2 50°

sin 50° * sin 130° = sin (90° - 80°) * sin (90° + 40°) = (cos 80° * cos 40° + sin 80° * sin 40°) * (cos 40° * cos 80° + sin 40° * sin 80°) = cos^2 80° - sin^2 40°

sin 70° * sin 110° = sin (90° - 20°) * sin (90° + 20°) = (cos 20° * cos 20° + sin 20° * sin 20°) * (cos 20° * cos 20° - sin 20° * sin 20°) = cos^2 20° - sin^2 20°

3. Підставимо отримані значення в початкове тождество:

(sin 160°+ sin 40°) * (sin 140° + sin 20°) + (sin 50° - sin 70°) * (sin 130° - sin 110°)

= (cos^2 70° - sin^2 50° + cos^2 50° - sin^2 50°) + (cos^2 80° - sin^2 40° - cos^2 20° + sin^2 20°)

= cos^2 70° + cos^2 50° + cos^2 80° + sin^2 20° - sin^2 40° - sin^2 50° - sin^2 50° - cos^2 20°

= cos^2 70° + cos^2 50° + cos^2 80° + sin^2 20° - 2 sin^2 50° - cos^2 20°

4. Використаємо тотожність sin^2 x + cos^2 x = 1:

cos^2 70° + cos^2 50° + cos^2 80° + sin^2 20° - 2 sin^2 50° - cos^2 20°

= cos^2 70° + cos^2 50° + cos^2 80° + (1 - cos^2 20°) - 2 sin^2 50° - cos^2 20°

= cos^2 70° + cos^2 50° + cos^2 80° - cos^2 20° - 2 sin^2 50° + 1

= 1 (з

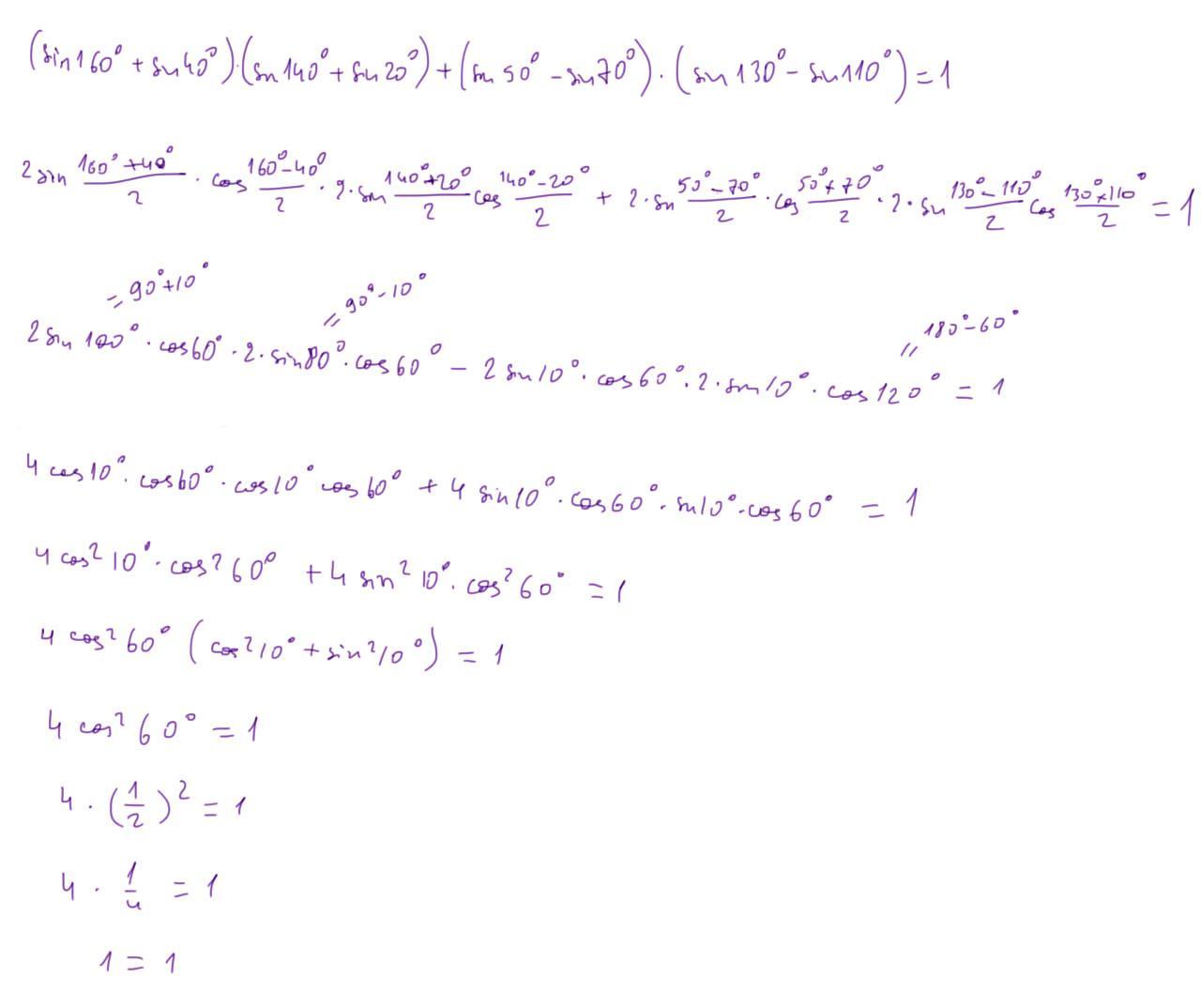
Автор ответа: Warlock1
0

Ответ:

Объяснение:

формулы сложения/разности синусов двух углов и синусы/косинусы 90°-а и т.д.

Приложения:
Похожие вопросы
Предмет: Математика, автор: loonskakira