Предмет: Математика,
автор: Аноним
Математика 6 класс решите пожалуйста с обяснениями
Приложения:
Ответы
Автор ответа:
3
Ответ:
Пошаговое объяснение:
решение внизу
Приложения:
february21year2023:
parus77 геометрия? 50баллов . последний вопрос
Автор ответа:
1
Пошаговое объяснение:
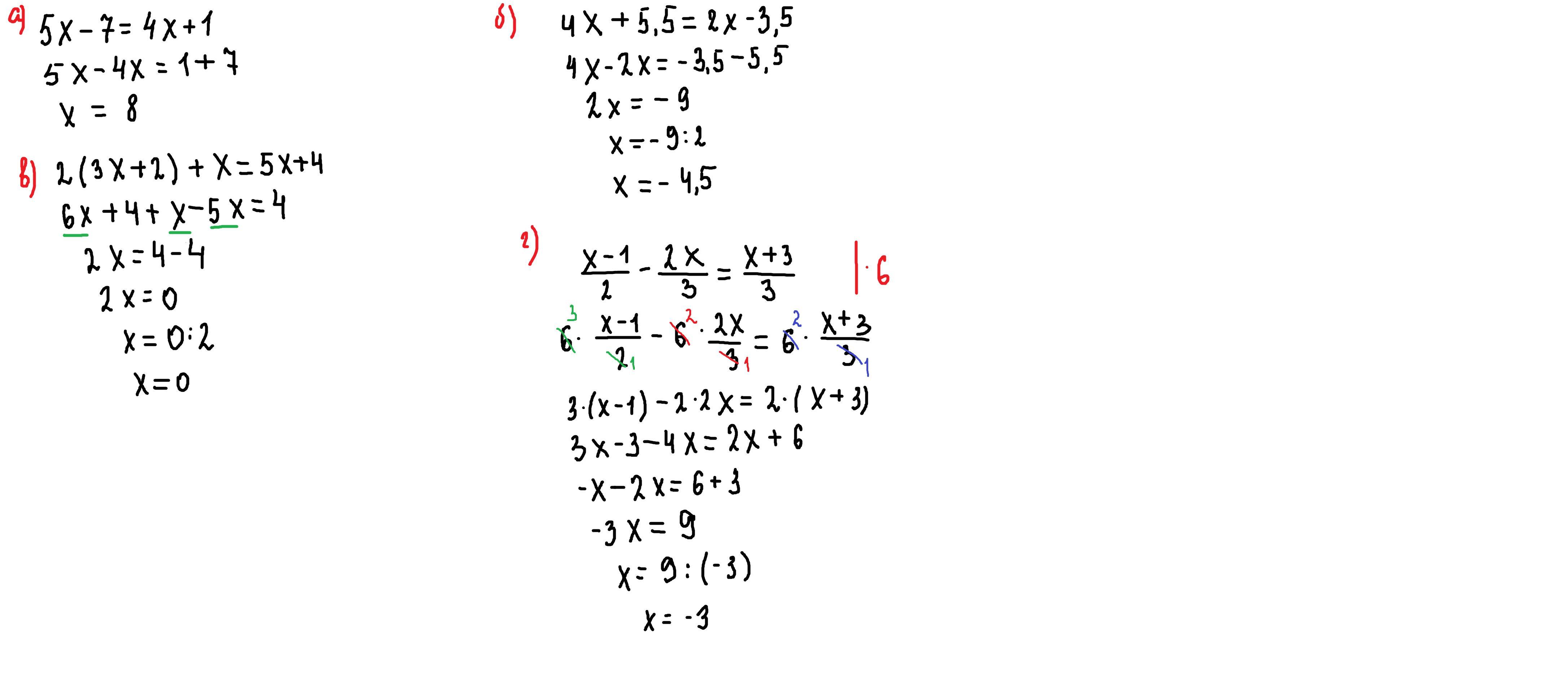
5х - 7 = 4х + 1
5х - 4х = 1 + 7
х = 8
4х + 5,5 = 2х - 3,5
4х - 2х = -3,5 - 5,5
2х = -9
х = -9 : 2
х = -4,5
2(3х + 2) + х = 5х + 4
6х + 4 + х = 5х + 4
7х + 4 = 5х + 4
7х - 5х = 4 - 4
2х = 0
х = 0 : 2
х = 0
(х - 1)/2 - 2х/3 = (х + 3)/3 | * 6
3(х - 1) - 2*2х = 2(х + 3)
3х - 3 - 4х = 2х + 6
-х - 3 = 2х + 6
-х - 2х = 6 + 3
-3х = 9
х = 9 : (-3)
х = -3
Похожие вопросы
Предмет: Физика,
автор: dovbeckijmaksim
Предмет: Химия,
автор: nikagricenko2205
Предмет: Психология,
автор: finix31
Предмет: Математика,
автор: GeloDin
Предмет: Математика,
автор: zhubaevkarim22