Предмет: Алгебра,
автор: gzvsgfsfagga
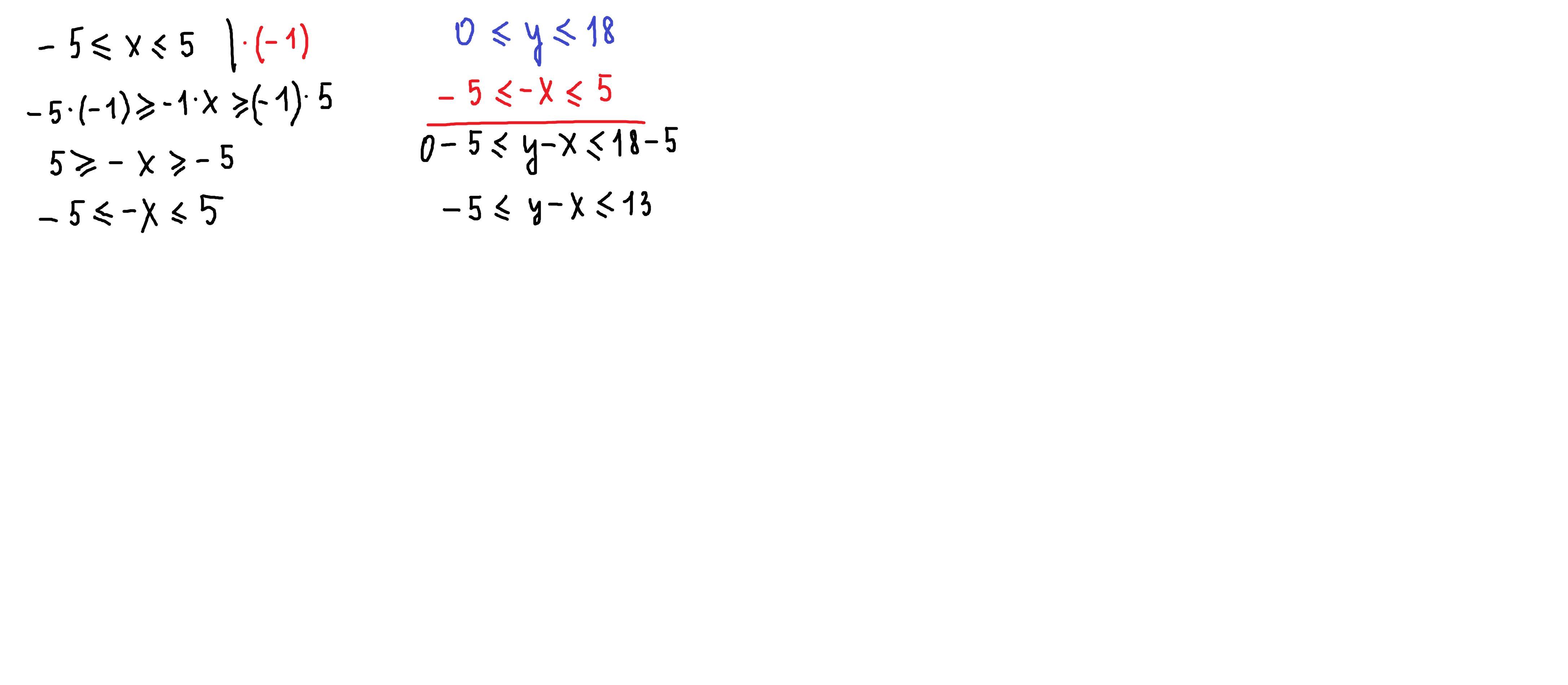
Если -5 ≤ x ≤ 5 и 0 ≤ y ≤ 18, найдите наибольшее значение у - х
Ответы
Автор ответа:
1
Ответ:23
Объяснение:Берем самое высокое значение y=18 которое возможно, далее берем наименьшее значение x=-5 и подставляем, 18-(-5)=>23 (Так как минус на минус дает плюс)
gzvsgfsfagga:
спасибо!!!
можете еще заданию помочь?
Звісно!
1.Если у = х + 5 и х < 1 тогда, какое из следующих определяет все значения y?
A) y < 5
Б) у < 6
B) y > 1
Г) 0 <у <5
Д) у > 6
15. Если abc^2 < 0, то какое(ие) из нижеследующих неравенств всегда верно?
l) ab<0
II) b<0
III) abc > 0
А) только I
Б) только II
B) I и II
Г) все
Д) ни один из них
A) y < 5
Б) у < 6
B) y > 1
Г) 0 <у <5
Д) у > 6
15. Если abc^2 < 0, то какое(ие) из нижеследующих неравенств всегда верно?
l) ab<0
II) b<0
III) abc > 0
А) только I
Б) только II
B) I и II
Г) все
Д) ни один из них
лучше задам вопросы в профиле, что то тут не так
Автор ответа:
1
Ответ:
наибольшее значение у - х равно 13
Объяснение:
Приложения:
спасибооо!
Похожие вопросы
Предмет: Алгебра,
автор: tyulya310387
Предмет: Английский язык,
автор: rozovenkoviktoria0
Предмет: Физика,
автор: karpenkodarina2110
Предмет: Русский язык,
автор: sepusilasepusila