Предмет: Математика, автор: tastanasyrkulov

(3x-12)× 1,5=0
4(18+3x)=0

Ответы

Автор ответа: pavlovdenis966
3

Ответ:

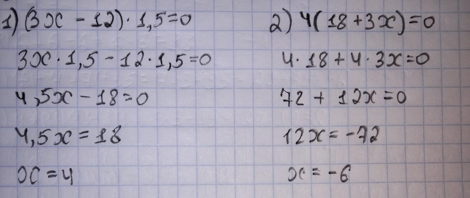
рішення на фотографії.

Приложения:

tastanasyrkulov: спасибо
Автор ответа: iramazurk
0

Пошаговое объяснение:

(3х - 12) * 1,5 = 0

3х - 12 = 0 : 1,5

3х - 12 = 0

3х = 12

х = 12 : 3

х = 4

4(18 + 3х) = 0

18 + 3х = 0 : 4

18 + 3х = 0

3х = -18

х = -18 : 3

х = -6

Похожие вопросы
Предмет: Русский язык, автор: ahmetnurasyl53
2. Определите, в какой структурной части текста раскрывается основная мысль. 3. Определите, какие особенности структуры данного текста помогают раскрыть основную мысль. Задание: Проанализируйте информацию, заключенную в тексте, выделите КЛЮЧЕВые слова и представьте информацию в виде рисунка, схемы, таблицы Олимпийские игры Самые известные в мире спортивные игры Олимпийские. Идея игр - дружба, братство и согласие народов мира. Олимпийское движение доказывает, что мир может быть достигнут благодаря спорту. Олимпийская эмблема пять переплетенных колец: голубое, желтое, черное, зеленое и красное. Флаг любой страны имеет хотя бы один из этих цветов. В первый раз Олимпийские игры были проведены в Древней Греции в 776 году до н. э. Они были частью фестиваля, проводящегося каждый четвертый год в честь бога Зевса в Олимпии. Это был грандиозный спортивный праздник, включавший в себя соревнования по борьбе, бегу, езде на колесницах, гребле и др. к играм допускались только мужчины, женщинам запрещалось не только частвовать, но и наблюдать. Первые современные Олимпийские игры были проведены в 1896 в Афина отом они были возобновлены в Лондоне после Второй мировой войны. С т емени Олимпийские игры проводятся каждый четвертый год в различн - анах. У древних греков не было зимних видов спорта. Только в 1924 год нции состоялись первые Зимние Олимпийские игры. Сейчас они прово ярно. терии особенности текста, щие основную No задания 1 2 Дескрипторы формулирует основную мысль текста определяет структурные части (вступление, заключение) основную текс ча​
Предмет: Литература, автор: vasilevakseniyandree