Предмет: Математика, автор: Fghfgjncfuknvc

ОЧЕНЬ СРОЧНО!!!!!!!!

Приложения:

Babakanastasiia: Почему 5 баллов
Babakanastasiia: Хотя бы 10 баллов
Babakanastasiia: Можно лучший ответ или СПАСИБО мне будет очень приятно

Ответы

Автор ответа: Babakanastasiia
0

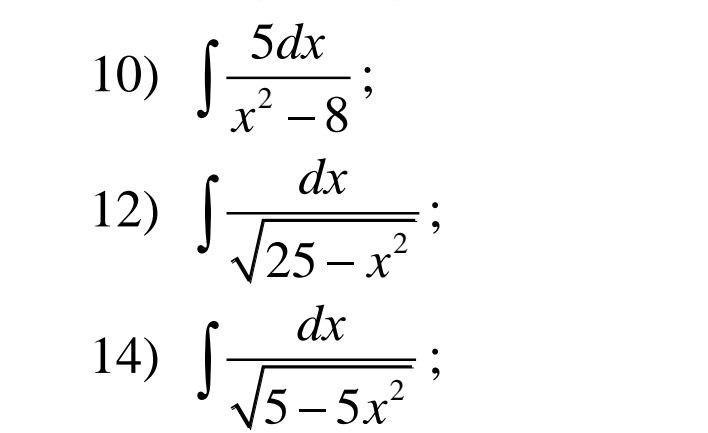
Ответ: все в фото надеюсь всё

Пошаговое объяснение:

Приложения:

Babakanastasiia: Можно лучший ответ или "Спасибо" мне будет приятно очень
Похожие вопросы
Предмет: Українська мова, автор: anettabelavska61
складіть план до тексту
Опис пам'ятки в художньому стилі.
У центрі Львова розташувалась велична споруда – Львівський оперний театр імені Соломії Крушельницької.
Розкішна будівля була побудована на початку ХХ століття за проектом талановитого польського архітектора Зигмунда Горголевського. 4 жовтня 1900 року урочисто відкрився святковою прем'єрою Великий міський театр.
Будівля призначена для проведення вистав. Мене вразила зала, яка побудована у вигляді ліри. Зручні ложі для глядачів розміщені на чотирьох ярусах.
Основою фасаду є складний портик, який ще називають парковим павільйоном з колонадою. Головний фасад розділений горизонтальним муруванням на два яруси. На краях другого ярусу головного фасаду розміщені дві великі сидячі статуї: зліва жінка з маскою уособлює комедію, справа жінка з ножем – трагедію.
У театр можна зайти з трьох входів, що розміщені у нішах першого ярусу. Завершення передньої стіни, або фронтон, має трикутну форму, оздоблену цікавою скульптурною композицією «Радощі і страждання життя». Зверху театр увінчують дві скульптурні групи-символи: справа розмістилась «Музика» й зліва – «Комедія і драма». Посередині на найвищому рівні статуя «Слави». Вона високо над головою тримає позолочену пальмову гілку – символ нагороди для тих, хто присвятив себе мистецтву.
Під оперним театром у колекторі тече річка Полтва. А сама споруда знаходиться на величезних бетонних блоках. Блукаючи підвалами, можна чути звук течії полоненої річки.
На мій погляд, чудова будівля оперного театру гармонійно вписується в архітектурний ансамбль центра міста. Споруда має достатньо добрий круговий огляд, бо до неї впритул не примикає жодна споруда. Сріблясті бризки фонтану перед центральним входом підкреслюють велич театру.
Чудова будівля театру є окрасою міста. Вона також вважається одною з кращих у світі.

------------------------​
Предмет: Українська мова, автор: fitmarov