Предмет: Математика,
автор: XAKIZEY
помогите пожалуйсто)
Приложения:
Ответы
Автор ответа:
0
Пошаговое объяснение:
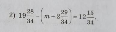
19 28/34 - (m + 2 29/34) = 12 15/34
m + 2 29/34 = 19 28/34 - 12 15/34
m + 2 29/34 = 7 13/34
m = 7 13/34 - 2 29/34
m = 6 47/34 - 2 29/34
m = 4 18/34
m = 4 9/17
Аноним:
Ору
Пхаххххх
Боюсь боюсь
Похожие вопросы
Предмет: Алгебра,
автор: Аноним
Предмет: Українська мова,
автор: bsheva2012
Предмет: Английский язык,
автор: Artyrchsk
Предмет: Математика,
автор: shagin0587