Предмет: Математика,
автор: anastasialataria46
ПОМОГИТЕ ПОЖАЛУЙСТА
Приложения:
Ответы
Автор ответа:
3
Пошаговое объяснение:
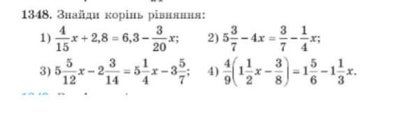
4/15х + 2,8 = 6,3 - 3/20х
4/15х + 3/20х = 6,3 - 2,8
16/60х + 9/60х = 3,5
25/60х = 3,5
5/12х = 35/10
х = 35/10 : 5/12
х = 35/10 * 12/5
х =7/5 * 6/1
х = 42/5
х = 8,4 или 8 2/5
5 3/7 - 4х = 3/7 - 1/4х
-4х + 1/4х = 3/7 - 5 3/7
-3 3/4х = -5
-15/4х = -5
х = -5 : (-15/4)
х = 5 * 4/15
х = 20/15
х = 4/3
х = 1 1/3
5 5/12х - 2 3/14 = 5 1/4х - 3 5/7
5 5/12х - 5 1/4х = -3 5/7 + 2 3/14
5 5/12х - 5 3/12х = -3 10/14 + 2 3/14
2/12х = -1 7/14
1/6х = -21/14
х = -21/14 : 1/6
х = -21/14 * 6/1
х = -21/7 * 3/1
х = -63/7
х = -9
4/9(1 1/2х - 3/8) = 1 5/6 - 1 1/3х
4/9(3/2х - 3/8) = 1 5/6 - 1 1/3х
2/3х - 1/6 = 1 5/6 - 1 1/3х
2/3х + 1 1/3х = 1 5/6 + 1/6
2 3/3х = 1 6/6
3х = 2
х = 2 : 3
х = 2/3
Похожие вопросы
Предмет: Алгебра,
автор: TheEnglishMan123
Предмет: Биология,
автор: sidorenkoalena231208
Предмет: История,
автор: 17diankasoloviova21
Предмет: Русский язык,
автор: pognalitude