Предмет: Алгебра,
автор: olgamirgorodskaya
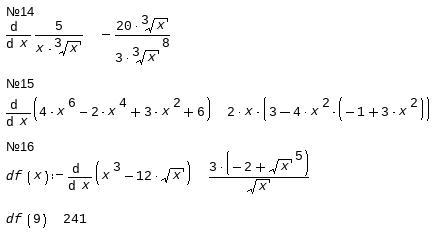
Знайти похідну
Зробити тільки виділені номери
Приложения:
Ответы
Автор ответа:
0
В задании №16 сперва найдена производная, затем подставлено значение.
Приложения:
Похожие вопросы
Предмет: Українська мова,
автор: krasovskadasha62
Предмет: Физика,
автор: itznadikys
Предмет: Физика,
автор: rina268183
Предмет: Физика,
автор: Аноним
Предмет: Українська література,
автор: FoxFaix12