Предмет: Математика,
автор: egoryeroshenko2011
Допоможіть будь ласка
Приложения:
Ответы
Автор ответа:
1
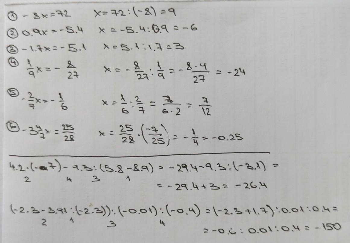
Ответ:
204
1 9
2 -6
3 3
4 -24
5 7/12
6 -0. 25
205
1 -26. 4
2 -150
Приложения:
Автор ответа:
1
Ответ:
Пошаговое объяснение:
Приложения:
Похожие вопросы
Предмет: Математика,
автор: Аноним
Предмет: Қазақ тiлi,
автор: Fdgt
Предмет: Физика,
автор: suuehehrhffhvc
Предмет: Қазақ тiлi,
автор: dtyshchuk