Предмет: Алгебра,
автор: ktv201919
Очень срочно!!!!!!!!
Помогите пж
Надо сделать письменно
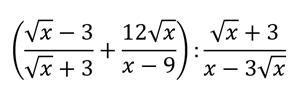
если значеие х 25
Приложения:
Ответы
Автор ответа:
2
Ответ: 5
Решение на прикреплённой фотографии
Приложения:
Похожие вопросы
Предмет: Информатика,
автор: Vladik4448934
Предмет: Английский язык,
автор: valeriapunko
Предмет: Английский язык,
автор: Urrka
Предмет: Другие предметы,
автор: ssssromashka
Предмет: Геометрия,
автор: zajkazajka472