Предмет: Математика, автор: aloka17

решите на фотоооооооо​

Приложения:

Ответы

Автор ответа: Аноним
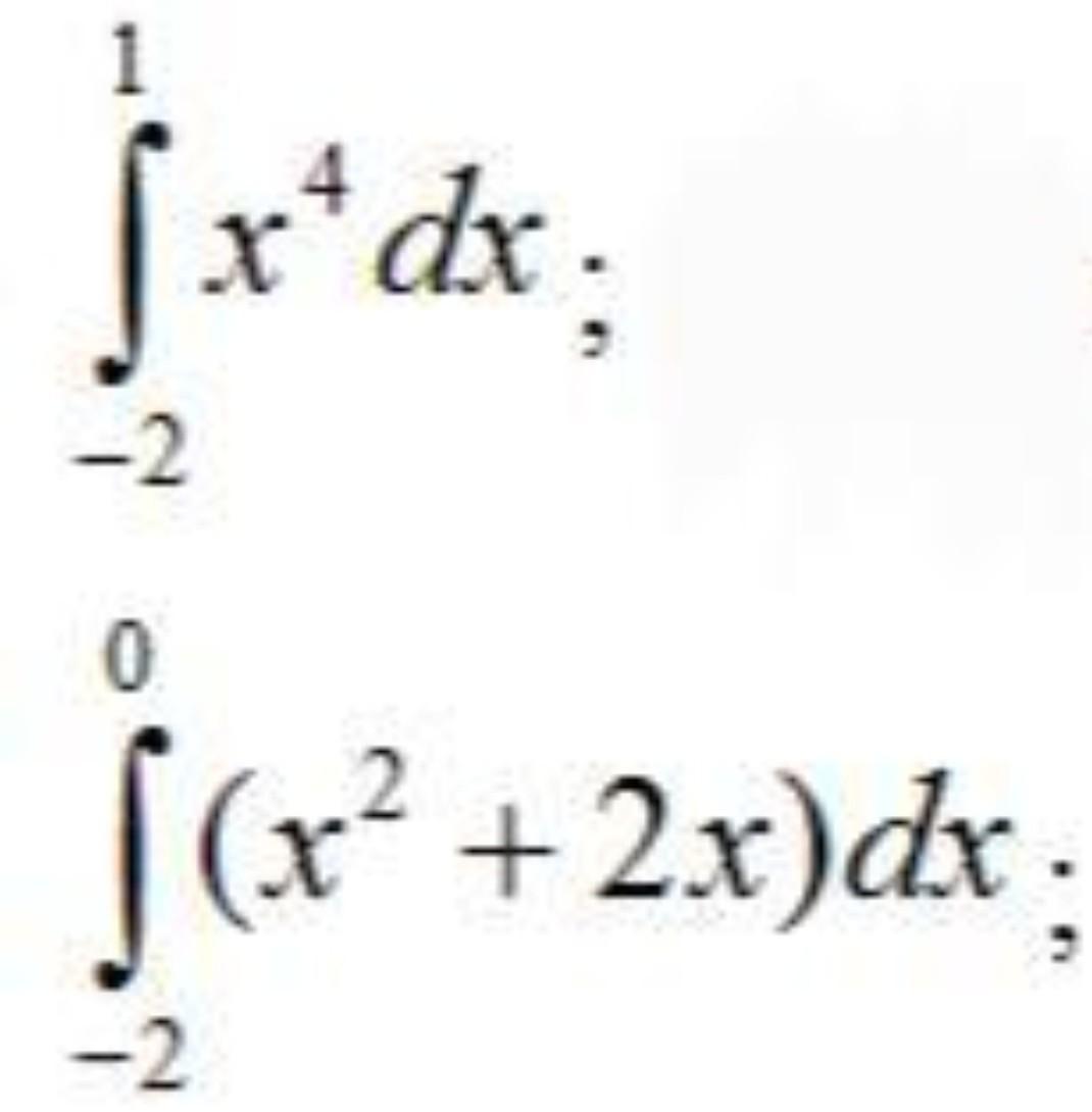
1

решение на прикрепленной фотографии

Приложения:
Похожие вопросы
Предмет: Английский язык, автор: Аноним

СРОЧНО!!!!!!!!!!!!!!
My Family

My name is Polly. I am ten. I am a schoolgirl. I go to school. I like learning English and playing puzzles. I would like to tell you about my family. It is neither big nor small. There are four of us.

I have got a mother. Her name is Jane. She is a teacher. She is very responsible and creative. She likes her work. Her hobbies are singing and shopping. My mother is fond of reading detective stories.

I have got a father. His name is Jack. He is a doctor. He is clever and hardworking. My father likes playing golf. He goes in for sport to be healthy and strong. He is fond of fishing too.

My brother Nick is small. He is only four. He likes playing toys. Usually we get on well with him, but sometimes he is very naughty.

On Saturdays and Sundays we like to be together. Last Sunday we went to the country. We had a good rest.

1) Напишите, прочитав текст, соответствует информация тексту или нет. Тrue or false (правда или ложь)

1. Polly’s mother is a doctor.

2. Polly has got a younger brother.

3. Her brother Nick is a pupil.

4. Polly is ten.

5. There are five people in Polly’s family.

6. Polly`s father is clever and hardworking..

7. Last Sunday Polly’s family went to the Zoo.

8. Last Sunday Polly’s family had a good rest.

2) Закончите предложения

9. 1. Polly likes _________ and___________

10. 2. There ______ members in her family

11. 3. The name of Polly’s mum is ____

12. 4. Her mother’s hobbies are____ and_____

13. 5. Polly’s father Jack is a ______

14. 6. Her father plays ____

15. 7. Nick is her ______. He is____

3) Ответьте на вопросы. Дайте полные ответы

16. Who likes learning English and playing puzzles?

17. Who is fond of reading detective stories?

18. Who is fond of fishing?

19. Who likes playing toys?