Предмет: Математика, автор: angelinapotrashkova

допоможіть будь ласка​

Приложения:

Ответы

Автор ответа: manyny06
1

Ответ:

решение смотри на фотографии

Приложения:
Автор ответа: kert1907
1

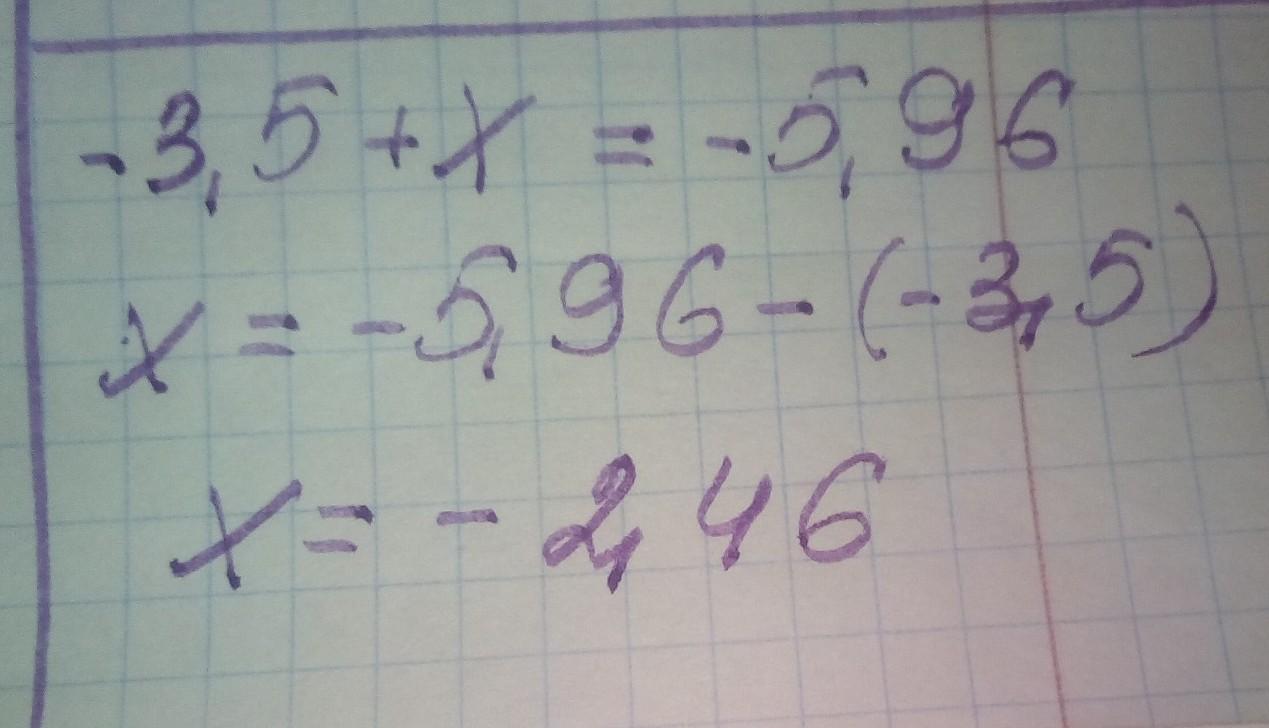
Відповідь:

-3.5 + х= -5.96

Перенесемо невідомі в одну сторону, відомі в іншу

х= - 5.96 + 3.5 (міняємо знак бо перенесли за дужки)

х= -2.46

2/3 + х = 3/4

Перенесемо невідомі в одну сторону, відомі в іншу

х = 3/4 - 2/3

Знаходимо спільний знаменник (12)

3/4 * 3 = 9/12

2/3 * 4 = 8/12

9/12-8/12 = 1/12

х= 1/12


kert1907: Корону біль ласка!
Похожие вопросы
Предмет: Алгебра, автор: asdasdsadasdasda84
Предмет: Геометрия, автор: fsrrgfsrg
Предмет: История, автор: Аноним