Предмет: Математика,
автор: iiiof
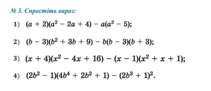
допоможіть, будь ласка
Приложения:
Ответы
Автор ответа:
0
Решение на прикреплённой фотографии
Приложения:
Похожие вопросы
Предмет: Алгебра,
автор: koveronika1912
Предмет: Окружающий мир,
автор: montecarlo1
Предмет: Українська мова,
автор: vladislav1029384756
Предмет: Биология,
автор: ivbahmetev14
Предмет: Физика,
автор: verkholazartem