Предмет: Математика,
автор: kupriievych2011
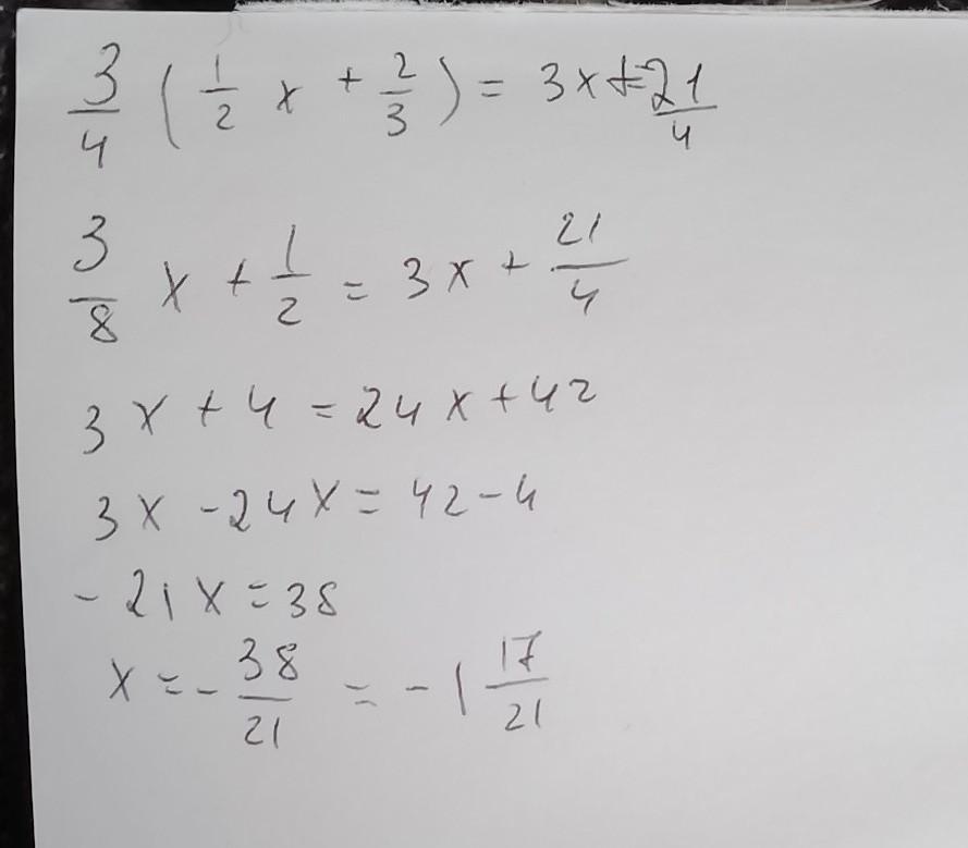
3/4 (1/2x + 2/3) = 3x + 2 1/4. не пишите фигню я вас прошу
Toxa1290:
Привет опять что нужно тут делать?
да математичка в файле так косячнула что это была только край
Хах
тебе уже ответ дали так что роботай брат(систер)
Ответы
Автор ответа:
1
Пошаговое объяснение:
......................#
Приложения:
Похожие вопросы
Предмет: Математика,
автор: Аноним
Предмет: Қазақ тiлi,
автор: zgalia29
Предмет: Қазақ тiлi,
автор: kakharmanovanarmina1
Предмет: Русский язык,
автор: solus425
Предмет: Математика,
автор: livanovawebmail