Предмет: Алгебра,
автор: sambelala45
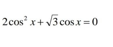
помогите пожалустааа
Приложения:
Ответы
Автор ответа:
1
Смотри.................
Приложения:
sambelala45:
спасибо!!
Похожие вопросы
Предмет: Математика,
автор: nazardemcenko26
Предмет: Українська мова,
автор: aroma2121977
Предмет: Английский язык,
автор: amirlan939
Предмет: Химия,
автор: mensatds0