Предмет: Математика,
автор: Аноним
Розв'яжіть будь-ласка даю 12 балов!!
Приложения:
Ответы
Автор ответа:
0
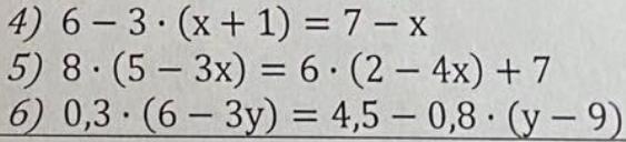
4) 6 - 3*(x+1) = 7 - x
6 - 3x - 3 = 7 - x
-3x + x = 7 - 6 - 3
-2x = -2
x = 1
5) 8*(5-3x)=6*(2-4x)+7
40 - 24x = 12 - 24x + 7
40 - 24x = 19 - 24x
21 - 24x = 0
21 = 24x
x = 21/24 = 7/8
6) 0,3*(6-3y)=4,5-0,8*(y-9)
1,8 - 0,9y = 4,5 - 0,8y + 7,2
1,8 - 0,9y = 11,7 - 0,8y
0,1y=9,9
y=99
Похожие вопросы
Предмет: Русский язык,
автор: assofia2601
Предмет: Русский язык,
автор: kkirov2704
Предмет: Математика,
автор: itopsnayper
Предмет: Физика,
автор: sitmarina24
Предмет: Українська література,
автор: Gsdjg