Предмет: Математика,
автор: EVULLLL
Допоможіть будь ласка
З діями тому що вчителька без дій не перевіряє))!❤️
Приложения:
Ответы
Автор ответа:
1
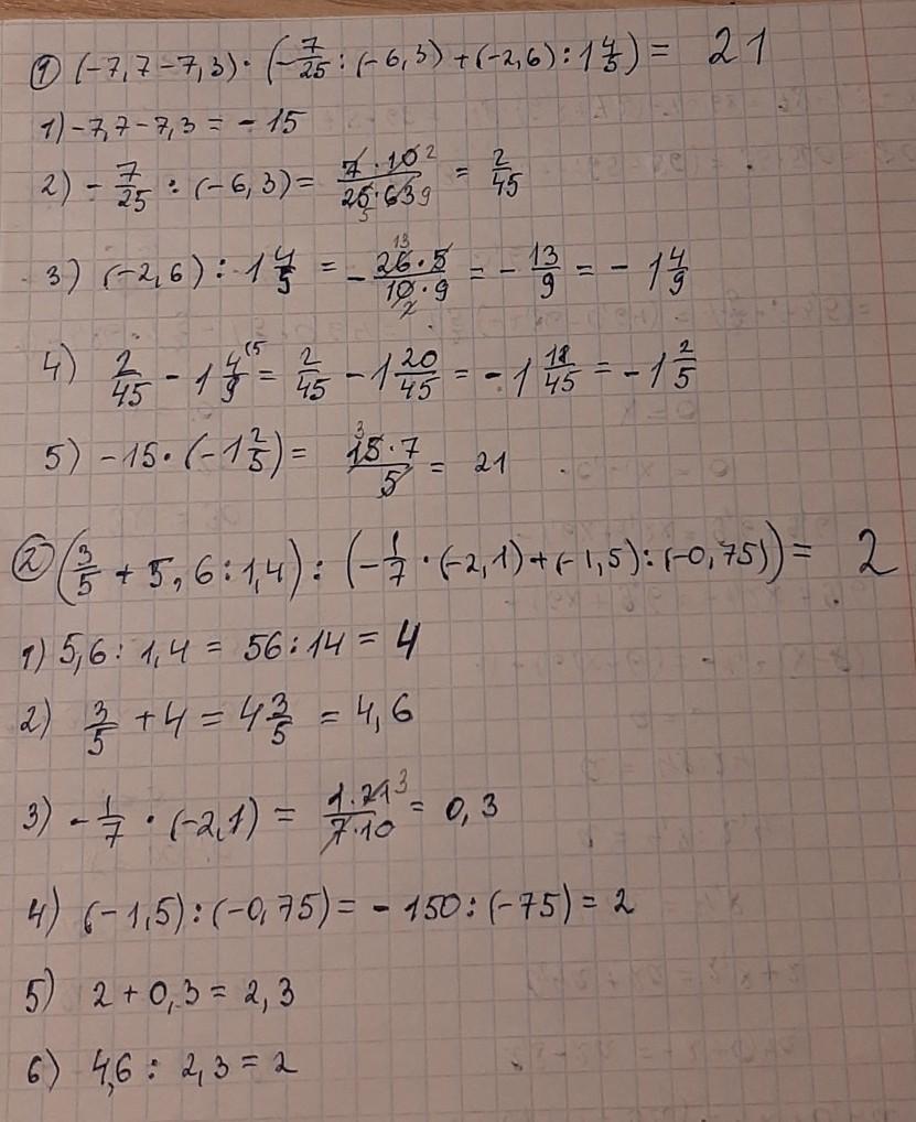
Решение на прикреплённой фотографии
Приложения:
Похожие вопросы
Предмет: История,
автор: kostenkoanastasia868
Предмет: История,
автор: pardaieva87
Предмет: История,
автор: kishchakmaria11
Предмет: Литература,
автор: drog4679
Предмет: Химия,
автор: blackstargold01