Предмет: Математика,
автор: corgilorian
СРОЧНО НАДО, ДАМ КУЧА ПОИНТОВ
Приложения:
rozinkov2010:
У тебя есть калькулятор.
Он не считает
Гений
очень странно
у меня все считает
Ответы
Автор ответа:
1
Ответ:1) 56,4
2) 79,4
3) 41
4) 58,4
5) 102,6
6) 86,5
Пошаговое объяснение:
Автор ответа:
0
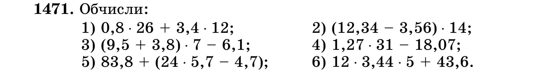
1) 0,8×26+3,4×12=20,8+40,8=61,6
2) (12,34-3,56)×14= 8,78 ×14=122,92
3) (9,5 + 3,8)×7-6,1=13,3×7-6,1=93,1-6,1=87
4) 1,27×31-18,07=39,37-18,07=21,3
5)83,8+(24×5,7-4,7)=83,8+(136,8-4,7)=83,8:132,1=215,9
6)12×3,44×5+43,6=206,4+43,6=250
2) (12,34-3,56)×14= 8,78 ×14=122,92
3) (9,5 + 3,8)×7-6,1=13,3×7-6,1=93,1-6,1=87
4) 1,27×31-18,07=39,37-18,07=21,3
5)83,8+(24×5,7-4,7)=83,8+(136,8-4,7)=83,8:132,1=215,9
6)12×3,44×5+43,6=206,4+43,6=250
Похожие вопросы
Предмет: Другие предметы,
автор: assetayim0907
Предмет: Алгебра,
автор: kakakapupapa
Предмет: Русский язык,
автор: vikagoncharenko11089
Предмет: Английский язык,
автор: jakimchykoxana
Предмет: Українська література,
автор: mops3333