Предмет: Математика,
автор: Nurman25
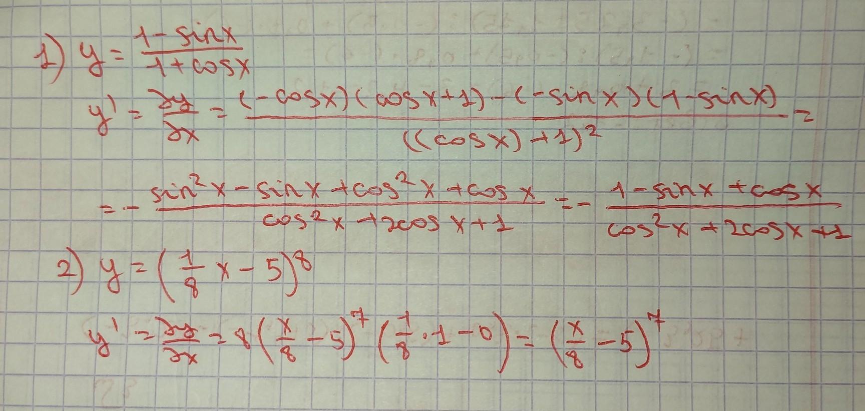
y=1-sinx/1+cosx
y=(1/8x-5)⁸
помогите найти похідну функцій
Ответы
Автор ответа:
1
решение на прикрепленной фотографии
Приложения:
Похожие вопросы
Предмет: Русский язык,
автор: aminakanat772
Предмет: История,
автор: shakanovsaid
Предмет: МХК,
автор: 4vfbwgb6gd
Предмет: Физика,
автор: vasiapupkin1213
Предмет: Алгебра,
автор: gonrowa20057