Предмет: Алгебра,
автор: SsInostrankasS
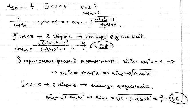
Знайдіть sin a i cos a, якщо tga= минус 3/4, п/2 < а < п
Ответы
Автор ответа:
1
дивіться фото...............................
Приложения:
Похожие вопросы
Предмет: Другие предметы,
автор: varvaragladyr
Предмет: Другие предметы,
автор: aiym1108
Предмет: Українська література,
автор: marynillya
Предмет: Математика,
автор: pabgep9
Предмет: Українська мова,
автор: akalinicenko266