Предмет: Алгебра,
автор: valentinazozulyaw
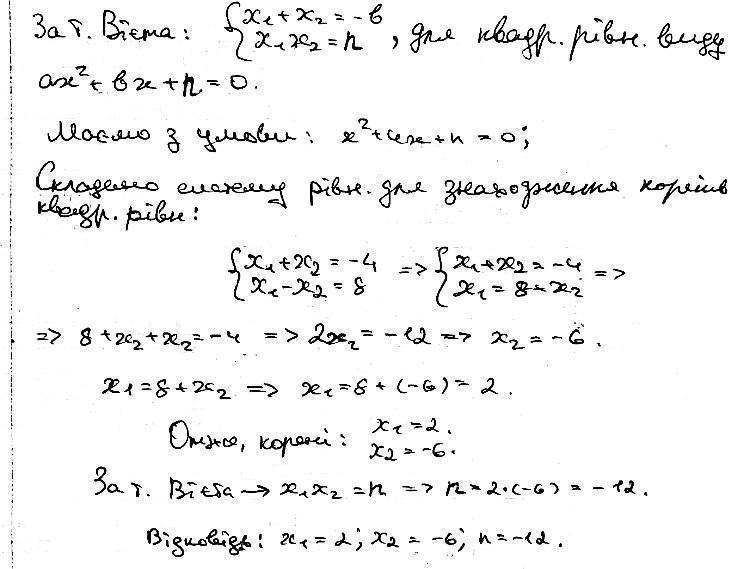
Корені х1 i х2 рiвняння x² + 4x + n = 0 задовольняють умову 3.x1 - x2 = 8. Знайдіть корені рівняння та значення п.
Ответы
Автор ответа:
3
дивіться фото........................................
Приложения:
valentinazozulyaw:
спасибо
Похожие вопросы
Предмет: Математика,
автор: vsmorozoff
Предмет: Биология,
автор: viratim2010
Предмет: Литература,
автор: tatianamysnyk3
Предмет: Українська література,
автор: lendel2011
Предмет: Химия,
автор: xxkaya