Предмет: Алгебра, автор: danik34rondtop53

3 ВОПРОСА 100 БАЛОВВ!!1.Розв’яжіть систему рівнянь: (первое фото снизу)

(3;2)


(2;3)


(2;1)


(2;-2)

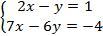
2.Розв’яжіть систему рівнянь: (второе фото снизу)

(6;-1)


(1;2)


(6;4)


(2;1)

3.Розв’яжіть систему рівнянь: (третие фото )

У відповідь запишіть суму (четыри фото ), де (пять фото) – розв’язок системи.

-12


35


-35


12

Приложения:

Ответы

Автор ответа: сок111213
2

Ответ:

1) (2;3)

2) (2;1)

3) - 12

Приложения:
Похожие вопросы
Предмет: Английский язык, автор: kurilenkodasha43
Предмет: Русский язык, автор: eghiazaryannare32
Вилелайте подлежащее и сказуемое. Никиту разбудили воробьи. Он проснулся и слушал, как свистит иволга. Налетел ветерок, и на подоконник упали капли росы. Сегодня был день рождения Никиты, одиннадцатое мая, и назначено поднятие флага на пруду. Никита не спеша оделся в новую рубашку из голубого с цветочками ситца, в новые штаны. Умиляясь на самого себя, он вычистил зубы. В столовой, на снежной свежей скатерти стоял большой букет ландышей. Матушка привлекла Никиту и поцеловала. После чая пошли на пруд. На берегу огромного пруда, у купальни, был врыт шест с яблоком румяным на верхушке. На воде, отражаясь зелёной и красной полосами, стояла лодка. В тени её плавали прудовые обитатели: жуки водяные, личинки кро- шечные, головастики. Василий Никитьевич привязал к нижнему концу бечевы личный адмиральский штандарт (флаг): на зелёном поле красная на задних лапах лягушка. Он быстро стал перебирать бечеву, флаг побежал по флагштоку и у самого яблока развернулся. НУЖНО ОЧЕНЬ СРОЧНО ДАЮ 30 БАЛЛОВ ​
Предмет: История, автор: 1316282
Сопоставьте художественные произведения и их авторов.

Варианты ответов
"Одигитрия Смоленская"
Спас Вседержитель в церкви Спаса Преображения на Ильине улице
"Звенигородский чин"
Вопрос 4
Из перечисленного выберите характерные черты новгородской архитектуры.

Варианты ответов
Над окнами делались полукруглые арки
Из кирпича выкладывались фигурные орнаменты - кресты, круги или треугольники
Стены делились на три части, которые назывались «прясла»
Преобладали небольшие одноглавые четырёхстолпные храмы
Круглые колонны




Укажите истинность или ложность утверждений о книгах и литературе.

Варианты ответов
Общерусский летописный свод известен как Троицкая летопись.
Большинство книг на Руси в XIV - XV веках являлись переводами греческих.
Особым литературным жанром стало похвальное слово князю.
Сочинения русских авторов были посвящены только религиозным событиям.
В начале XV века листы пергамена сменились бумагой.



Какое общее название получили рассказы о путешествиях, появившиеся в XIV - XV вв.?