Предмет: Алгебра,
автор: acasynati
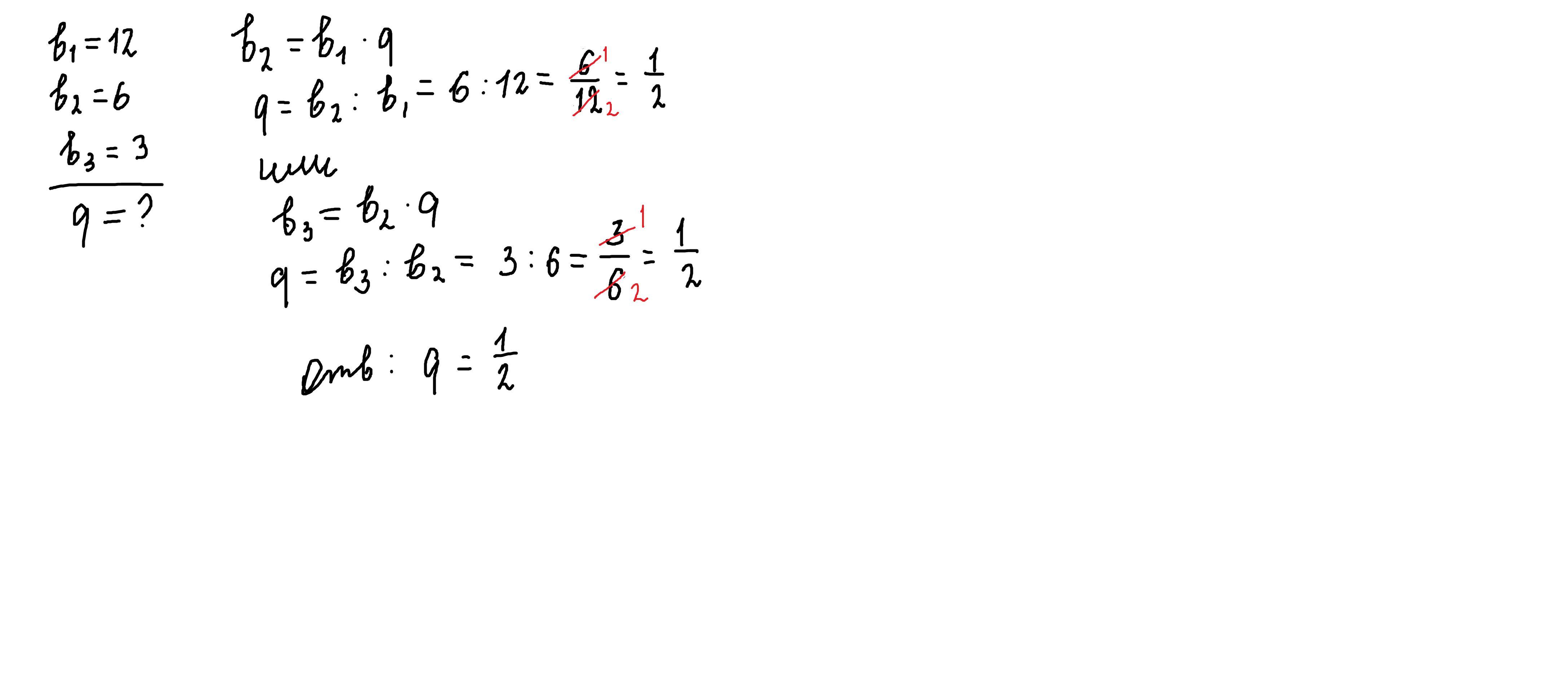
Знайди знаменник геометричної прогресії 12; 6; 3; 1,5
Ответы
Автор ответа:
2
Ответ: q=1/2
Объяснение:
в геом. прогрессии каждый следующий член получается путем умножения предыдущего на одно и тоже число(знаменатель прогрессии q)
Поэтому чтобы найти знаменатель надо последующий член разделить на предыдущий
Приложения:
Похожие вопросы
Предмет: Английский язык,
автор: a0962647606
Предмет: Химия,
автор: user1718334
Предмет: География,
автор: katyawael
Предмет: Математика,
автор: den27052009