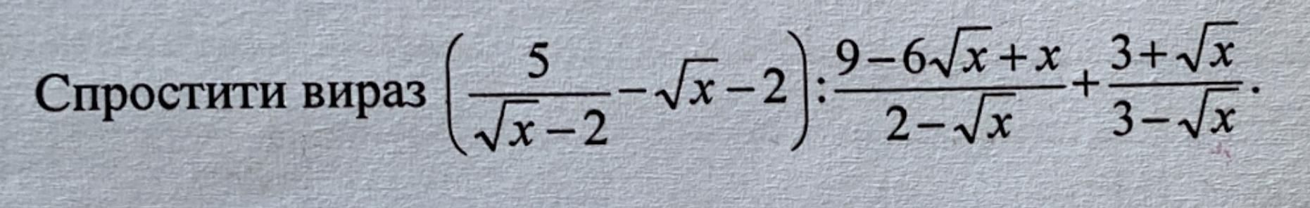
Предмет: Алгебра, автор: slonowich

Допомога 22 бали швидко

Приложения:

Ответы

Автор ответа: dasha56725
1

Объяснение:

.....................

Приложения:
Автор ответа: shylmanka
1

Відповідь:

0

Пояснення:

Приложения:
Похожие вопросы
Предмет: Українська мова, автор: karlinaalina35
Предмет: Геометрия, автор: Аноним
Предмет: Французский язык, автор: KashafutdinovMarsel
Выбери правильный ответ.
1.Во французском языке ударение падает
A)на первый слог
B)на последний слог- правильный ответ
C)на предпоследний слог
2.Буква «с» читается как звук k в слове
A)cage
B)cerise
C)cirque
3.Буква «s» не читается в следующем слове
A)mares
B)rose
C)sel
4.Неопределенный артикль женского рода единственного числа
A)un
B)des
C)une
5.Определенный артикль множественного числа
A)Des
B)Les
C)D’
6.Во французском языке род существительного может быть
a)мужской, женский, средний
b)мужской, женский
c)женский, средний
7.Среди редложенных существительных выберите форму множественного числа
a)Un autobus
b)Des autobus
c)L’autobus
8.Выберите верную форму глагола
a)Je sommes
b)Je suis
c)Je es
9.Вставьте глагол в предложение «Didier et Paul….artistes».
a)sont
b)sommes
c)est
10.Среди редложенных слов выберите слово, противоположное по смыслу слову “noir”
a)jaune
b)rouge
c)blanc
11.Выберите слово, которое обозначает предмет одежды.
a)Bleu
b)Bon
c)Bonnet
12.Выберите глагол для предложения “J’…..la lampe.
a)regarde
b)allume
c)suis
13.Столица Франции
a)Paris- правильный ответ
b)Lille
c)Dijon
14.Цвета французского флага
a)blanc, bleu, noir
b)rouge, jaune, orange
c) bleu, blnc,rouge
15.Вежливое обращение во Франции к мужчине
a)Paul
b)Monsieur
c)Georges
Часть В Соедините вопросы и ответы.
1.Comment ça va? A)J’ habite Paris.
2.Où habites-tu? B)Elle s’appelle Marie.
3.Comment t’ appelles-tu? C)Pas mal.
4.Comment s’ appelle ta grand-mère? D)Je m’appelles Marc.
Часть С Вставьте пропущенное слово.
1.La famille de Marie…..grande.
2.Sa mère….Julie.
3.Elle…docteur.
4.Marie dessine…
5.Elles…rouges.
6.Marie…la lampe.
a)s’appelle
b)docteur
c)les roses
d)allume
e)sont
f)est
Заранее спасибо!!!!!!!