Предмет: Математика,
автор: claushgrief12
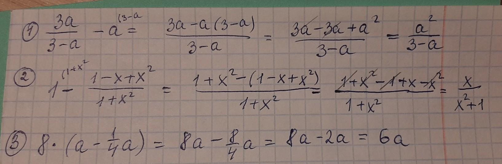
Решите примеры , и подробно объясните решение.
Приложения:
Ответы
Автор ответа:
0
Решение на прикреплённой фотографии
Приложения:
Похожие вопросы
Предмет: Биология,
автор: soulssion
Предмет: Українська мова,
автор: Inna102009
Предмет: Математика,
автор: sofiarubchenko2011
Предмет: Русский язык,
автор: juliakokos6432
Предмет: Алгебра,
автор: kokokopoba