Предмет: Алгебра,
автор: teachok
Виконати розкриття дужок
Приложения:
miilassz:
це один приклад чи декілька?
декілька
дякую
Ответы
Автор ответа:
1
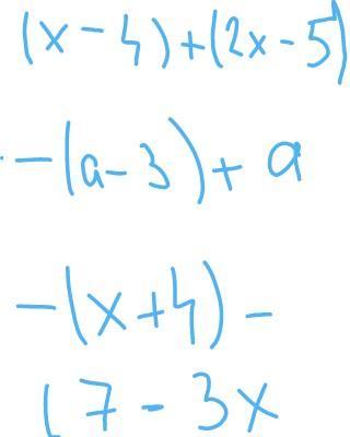
( х-4 )+( 2x-5 ) = x - 4 + 2x - 5 = 3x - 9
- ( a-3 ) + a = -a + 3 + a = 3
-( x+4 ) - ( 7-3x ) = -x - 4 - 7 + 3x = 2x -11
третий пример верно записан?
Автор ответа:
0
Відповідь:
1.
(x-4)+(2x-5);
x-4+2x-5;
3x-9.
2.
-(a-3)+a;
-a+3+a;
3.
3.
-(x+4)-17-3x;
-x-4-17-3x;
-4x-21.
або
-(x+4)-(7-3x);
-x-4-7+3x;
2x-11.
Похожие вопросы
Предмет: Математика,
автор: yurkowal4uck2015
Предмет: Другие предметы,
автор: liana07kiss
Предмет: Обществознание,
автор: vikakorutska
Предмет: Физика,
автор: koshanayeva