Предмет: Геометрия,
автор: liubovverrs
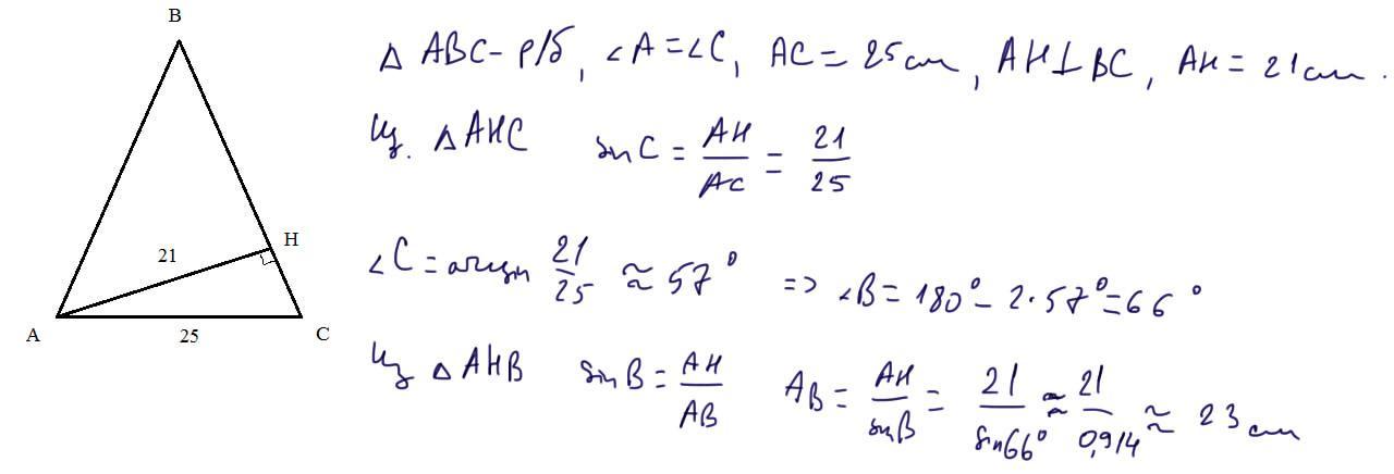
Основа рівнобедреного трикутника дорівнює 25 см, а висота, проведена до бічної сторони, 21 см. Знайти бічну сторону та кут між бічними сторонами трикутника
з малюнком будь ласка)
Ответы
Автор ответа:
1
Ответ:
23см, 66°
Объяснение:
Приложения:
Похожие вопросы
Предмет: Литература,
автор: sonasonka02
Предмет: Математика,
автор: uslusarenko58
Предмет: Алгебра,
автор: nayz000hp
Предмет: Алгебра,
автор: skvorana10