Предмет: Алгебра,
автор: romansamsung447
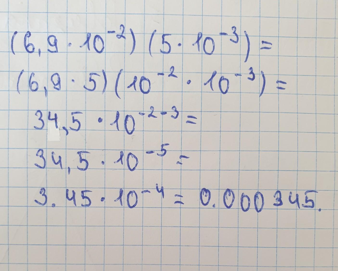
Помогите с а пожалуйста
Приложения:
Ответы
Автор ответа:
0
Ответ:
0.000345
Объяснение:
вттвлаьаьслсь
Приложения:
Похожие вопросы
Предмет: Математика,
автор: ttblackrussia772
Предмет: История,
автор: viktoriastasuk572
Предмет: Математика,
автор: bondarivan6550
Предмет: Алгебра,
автор: Vladkuznjecov