Предмет: Алгебра,
автор: dmitroderebcinskij
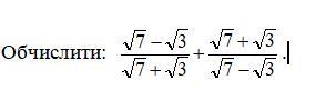
Допоможіть Розвязати
Приложения:
Ответы
Автор ответа:
1
Ответ:
вот
Объяснение:
Приложения:
Автор ответа:
0
Спочатку скоротимо дріб в чисельнику:
(√7 - √3) / (√7 - √3 + √7 + √3)
Складемо два останні доданки в знаменнику:
(√7 - √3) / (2√7)
Розділимо чисельник і знаменник на √7:
(√7 - √3) / (2√7) * (√7 / √7) = (√7 - √3)√7 / 2 * 7 = (√49 - √21) / 14 = = (7 - √21) / 14
Тому відповідь: (7 - √21) / 14
Надеюсь помог
bXzy_q =)
Похожие вопросы
Предмет: Математика,
автор: dastiw1
Предмет: Математика,
автор: kozakevycr2
Предмет: Математика,
автор: safiekadyrova67
Предмет: Українська мова,
автор: turenokaleksandr34
Предмет: Алгебра,
автор: 0Dasha9