Предмет: Математика, автор: swatiimlinchk

допоможіть будь-ласка

Приложения:

Ответы

Автор ответа: сок111213
1

Решение на прикреплённой фотографии

Приложения:
Автор ответа: iramazurk
0

Пошаговое объяснение:

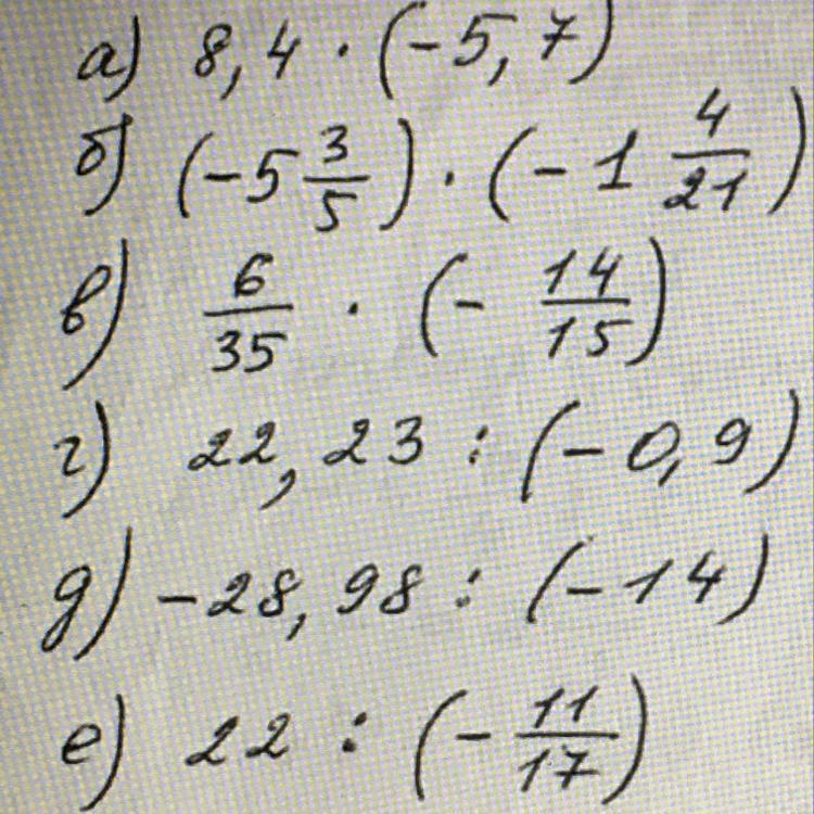
а) 8,4 * (-5,7) = -(8,4 * 5,7) = -47,88

б) -5 3/5 * (-1 4/21) = 5 3/5 * 1 4/21 = 28/5 * 25/21 = 4/1 * 5/3 = 20/3 = 6 2/3

в) 6/35 * (-14/15) = -(6/35 * 14/15) = -(2/5 * 2/5) = -4/25

г) 22,23 : (-0,9) = -(22,23 : 0,9) = -24,7

д) -28,98 : (-14) = 28,98 : 14 = 2,07

е) 22 : (-11/17) = -(22 : 11/17) = -(22 * 17/11) = -(2 * 17/1) = -34/1 = -34

Похожие вопросы
Предмет: Экономика, автор: sadnifor
ДАЮ 100 БАЛЛОВ СРОЧНО !!!! СРОЧНО!!!!!!!!!!!!!!!!!!!!!!
1.Вибрити з тексту суб єктів економіки
Моя мама лікар, вона працює в міській лікарні, тато - водій, він працює в приватній транспортній компанії. Я навчаюсь у школі мистецтв.
2. Собівартість - це......
3. "Приготуємо вареники".Назіть приклади виробничих ресурсів, які використовують при виробництві вареників( види ресурсів за групами)
1.Трудові ресурси - Кухар
2..........
3..........
4.........
4.Заповни таблицю
Професії Вид послуг
Учитель освітні послуги
1.
2.
3.
4.
5.
5. Назвіть форми власності
1.
2.
3.
Яка форма власності переважає в Україні?
6. Формула прибутку
7.Наведіть приклади благ
Неекономічні блага:
1.
2.
3.
економічні блага
1.
2.
3.
8.Що таке бюджет? Види бюджету.
9.Види доходів домогосподарств
10.Поясни прислів я з точки зору економічних відносин
" Безкоштовний сир буває тільки в мишиловці"
1.Вибрити з тексту суб єктів економіки
Моя мама лікар, вона працює в міській лікарні, тато - водій, він працює в приватній транспортній компанії. Я навчаюсь у школі мистецтв.
2. Собівартість - це......
3. "Приготуємо вареники".Назіть приклади виробничих ресурсів, які використовують при виробництві вареників( види ресурсів за групами)
1.Трудові ресурси - Кухар
2..........
3..........
4.........
4.Заповни таблицю
Професії Вид послуг
Учитель освітні послуги
1.
2.
3.
4.
5.
5. Назвіть форми власності
1.
2.
3.
Яка форма власності переважає в Україні?
6. Формула прибутку
7.Наведіть приклади благ
Неекономічні блага:
1.
2.
3.
економічні блага
1.
2.
3.
8.Що таке бюджет? Види бюджету.
9.Види доходів домогосподарств
10.Поясни прислів я з точки зору економічних відносин
" Безкоштовний сир буває тільки в мишиловці"
Предмет: Українська література, автор: Аноним