Предмет: Математика,
автор: dakubovic10
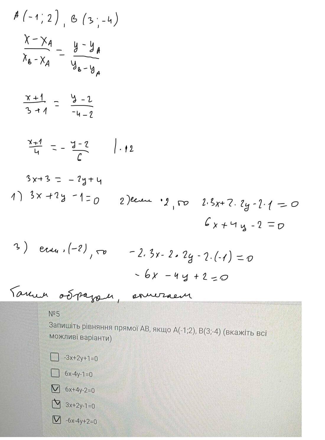
задача номер 5 ........
Приложения:
Ответы
Автор ответа:
1
Ответ:
типа того
Пошаговое объяснение:
Приложения:
dakubovic10:
дякую
Похожие вопросы
Предмет: Алгебра,
автор: annatkachik10
Предмет: Литература,
автор: anna378579
Предмет: Английский язык,
автор: dzumanalievavalira
Предмет: Английский язык,
автор: porohnyvec2002p8i0i3
Предмет: Русский язык,
автор: vitalykornienko138