Предмет: Математика, автор: kosvag2

ООООЧЕНЬ СРООООООЧНООО​

Приложения:

Ответы

Автор ответа: jekadva
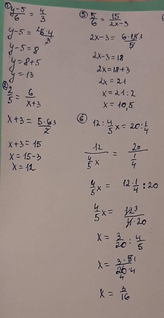
1

Ответ:

Пошаговое объяснение:

(y-5)/6 = 4/3

3*(y-5) = 6*4

3y - 15 = 24

3y = 24+15

3y = 39

y = 39:3

y = 13

------------------

2/5 = 6/(x+3)

2*(x+3) = 6*5

2x + 6 = 30

2x = 30-6

2x = 24

x = 24:2

x = 12

--------------------

5) 5/6 = 15/(2x-3)

5*(2x-3) = 15*6

10x - 15 = 90

10x = 90+15

10x = 105

x = 105:10

x = 10,5

------------------------

6) 12 : 4x/5 = 20 : 1/4

4x/5 * 20 = 12 * 1/4

16x = 3

x = 3:16

x = 3/16

-----------------------

Автор ответа: сок111213
1

Решение на прикреплённой фотографии

Приложения:
Похожие вопросы
Предмет: История, автор: dvitsinskyi53
Предмет: Русский язык, автор: legendarnoe
Прочитайте два текста.
Напишите сравнительный анализ текста А и текста Б. Проанализируйте их сходства и различия в содержании, композиции, языке и стиле.

Текст А Текст Б
Общее 1 б



Различия
Форма 1 б


Целевая аудитория 1 б


Цель 1 б


Стиль 1 б


Язык 2 б (средство – пример)




ТЕКСТ А

Развитие человечества и прогресс науки и техники сегодня не проходят гладко. Не бывает пока что у людей так, чтобы комфорт и удобства им обходились без проблем. И самые важные проблемы, которые сопровождают наше развитие, – это неурядицы экологические. То есть события, что происходят в окружающей нас природной среде.
Первая и самая серьезная проблема экологии на сегодня – это загрязнение воды, воздуха и почвы отходами промышленности. Приятно кушать ложкой из нержавеющей стали, но, чтобы выплавлять эти ложки, в каком - то китайском городе работает завод без очистных сооружений. Смог этого завода через день покрывает миллионный город, и жители надевают на лицо защитные респираторы.
Вторая серьезная проблема на Земле – истощение озонового слоя и глобальное потепление, что приводит к наводнениям и природным катастрофам. Причину этого ученые снова-таки видят в постоянном сжигании человечеством топлива – нефти, угля и газа для своих нужд. Один металлургический, к примеру, завод, способен изменить климат в том населенном пункте, где он находится, ведь ежедневно он «греет» атмосферу и выделяет в нее газы, что создают на Земле мини-парник в масштабах космоса.
Экологические задачи решаемы, и решаются они заменой технологий, их модернизацией, совершенствованием способов производства на более чистые и безопасные. Здесь на помощь приходят ученые. Почему же люди не разрешают дружно экологические проблемы?
ТЕКСТ Б

…Ты можешь топить печи торфом, а сараи строить из камня. Ну, я допускаю, руби леса из нужды, но зачем истреблять их? Леса трещат под топором, гибнут миллиарды деревьев, опустошаются жилища зверей и птиц, мелеют и сохнут реки, исчезают безвозвратно чудные пейзажи, и всё оттого, что у ленивого человека не хватает смысла нагнуться и поднять с земли топлива. (Елене Андреевне.) Не правда ли, сударыня? Надо быть безрассудным варваром, чтобы жечь в своей печке эту красоту, разрушать то, чего мы не можем создать. Человек одарен разумом и творческою силой, чтобы преумножать то, что ему дано, но до сих пор он не творил, а разрушал. Лесов все меньше и меньше, реки сохнут, дичь перевелась, климат испорчен, и с каждым днем земля становится все беднее и безобразнее. (Войницкому.) Вот ты глядишь на меня с иронией, и все, что я говорю, тебе кажется не серьезным и... и, быть может, это в самом деле чудачество, но, когда я прохожу мимо крестьянских лесов, которые я спас от порубки, или когда я слышу, как шумит мой молодой лес, посаженный моими руками, я сознаю, что климат немножко и в моей власти, и что если через тысячу лет человек будет счастлив, то в этом немножко буду виноват и я. Когда я сажаю березку и потом вижу, как она зеленеет и качается от ветра, душа моя наполняется гордостью, и я...
… Тут мы имеем дело с вырождением вследствие непосильной борьбы за существование; эта вырождение от косности, от невежества, от полнейшего отсутствия самосознания, когда озябший, голодный, больной человек, чтобы спасти остатки жизни, чтобы сберечь своих детей, инстинктивно, бессознательно хватается за все, чем только можно утолить голод, согреться, разрушает все, не думая о завтрашнем дне... Разрушено уже почти все, но взамен не создано еще ничего.
(По А.П.Чехову «Дядя Ваня»)