Предмет: Химия,
автор: danulykt25
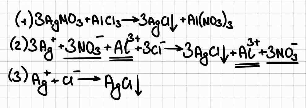
написати рівняння реакції AlCL3+AgNo3 в молекулярній іонній та скороченій іоні формі
Ответы
Автор ответа:
1
(1) Молекулярное уравнение.
(2) Полное ионное уравнение.
(3) Сокращëнное ионное уравнение.
Приложения:
Похожие вопросы
Предмет: Українська мова,
автор: olegroblox14
Предмет: Химия,
автор: mostovaya86
Предмет: Русский язык,
автор: MEXPUN
Предмет: Биология,
автор: 19851978z
Предмет: Математика,
автор: yla230e