Предмет: Алгебра,
автор: mashatiara1
СРОЧНО!! даю 20 очков
Приложения:
Ответы
Автор ответа:
0
Звичайно, я допоможу вирішити ці математичні вирази!
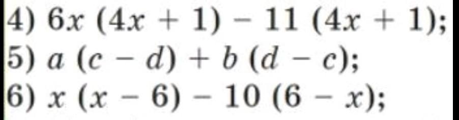
4) 6x (4x + 1) - 11 (4x + 1) = (6x - 11) (4x + 1).
Отже, спрощений вираз: (6x - 11) (4x + 1).
5) a (c - d) + 6 (d - c) = ac - ad + 6d - 6c = ac - ad + 6d - 6c.
Отже, спрощений вираз: ac - ad + 6d - 6c.
6) x (x - 6) - 10 (6 - x) = x^2 - 6x - 60 + 10x = x^2 + 4x - 60.
Отже, спрощений вираз: x^2 + 4x - 60.
Надіюся, що ці відповіді були корисними! Якщо у вас є ще якісь запитання, я з радістю допоможу вам!
4) 6x (4x + 1) - 11 (4x + 1) = (6x - 11) (4x + 1).
Отже, спрощений вираз: (6x - 11) (4x + 1).
5) a (c - d) + 6 (d - c) = ac - ad + 6d - 6c = ac - ad + 6d - 6c.
Отже, спрощений вираз: ac - ad + 6d - 6c.
6) x (x - 6) - 10 (6 - x) = x^2 - 6x - 60 + 10x = x^2 + 4x - 60.
Отже, спрощений вираз: x^2 + 4x - 60.
Надіюся, що ці відповіді були корисними! Якщо у вас є ще якісь запитання, я з радістю допоможу вам!
Похожие вопросы
Предмет: Математика,
автор: olenkaoliynuk1805
Предмет: Немецкий язык,
автор: evakobuh2658
Предмет: Математика,
автор: kosicynaleksei2712
Предмет: Русский язык,
автор: Sofa2207
Предмет: Биология,
автор: roharototoha