Предмет: Алгебра,
автор: urcukbogdan353
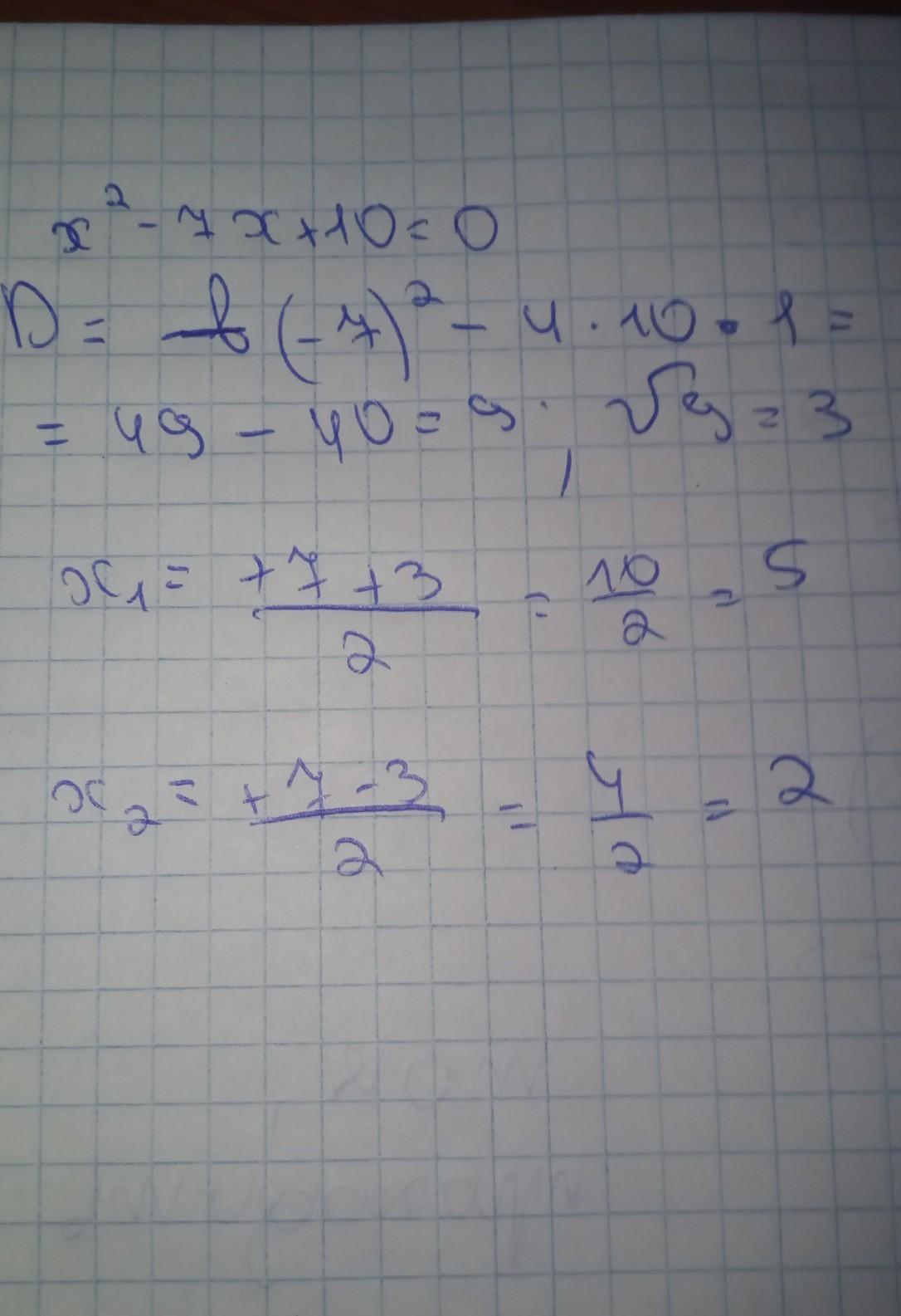
Якi з чисел є коренями квадратного рiвняННЯ x²-7x+10=0
Ответы
Автор ответа:
0
Ответ:
5;2
Объяснение:
**************************
Приложения:
Похожие вопросы
Предмет: Математика,
автор: sabatovicholeg
Предмет: Английский язык,
автор: amangaldidamir52
Предмет: Алгебра,
автор: bardeckaliza
Предмет: Русский язык,
автор: umnaadura82
Предмет: Геометрия,
автор: valeriya200897ureva