Предмет: Алгебра,
автор: bobrovicandrej3
ПОМОГИТЕ ПОЖАЛУЙСТА, ОЧЕНЬ НАДА
Приложения:
Ответы
Автор ответа:
1
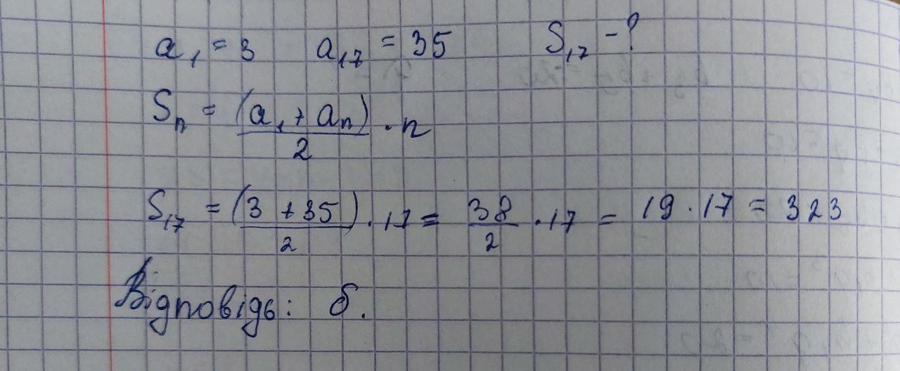
Ответ: б 323
Объяснение:
Приложения:
Похожие вопросы
Предмет: Алгебра,
автор: alpysbekovtilektes
Предмет: Алгебра,
автор: gogal5309
Предмет: Математика,
автор: vilininaosmanova
Предмет: Математика,
автор: Rusiva