Предмет: Математика,
автор: xiaomiredminote94793
Розв'яжіть рівняння:
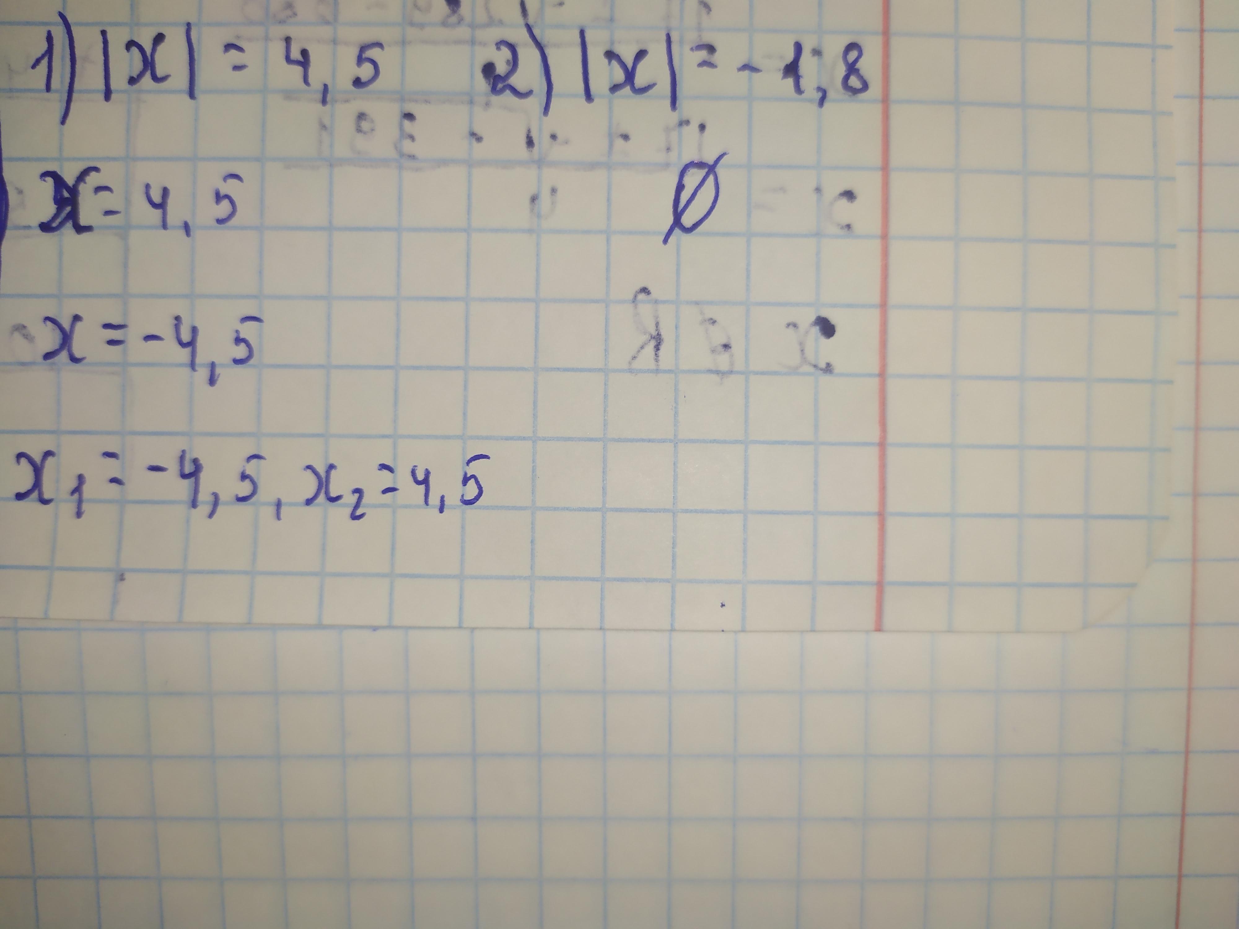
1) |x| = 4,5
2)|x| = -1,8
Ответы
Автор ответа:
0
Ответ:
Неможливо знайти розв'язки для рівняння |x| = -1,8, оскільки значення модуля завжди не може бути від'ємним.
Щоб знайти розв'язки для рівняння |x| = 4,5, потрібно розділити його на два випадки:
a) x = 4,5
b) x = -4,5
Отже, розв'язки рівняння |x| = 4,5 це x = 4,5 або x = -4,5.
Автор ответа:
0
Ответ:
фото
Пошаговое объяснение:
Приложения:
Похожие вопросы
Предмет: История,
автор: zaharnovikov67
Предмет: Информатика,
автор: ValeraKrasavchik
Предмет: Математика,
автор: r55316527
Предмет: Математика,
автор: vikagamerule
Предмет: Математика,
автор: vikagamerule