Предмет: Алгебра,
автор: korshikovanastiya
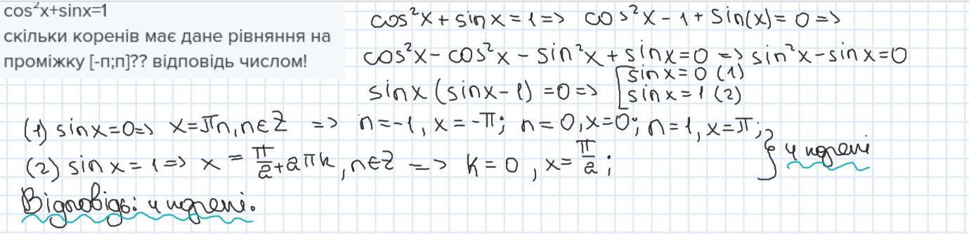
cos²x+sinx=1
скільки коренів має дане рівняння на проміжку [-п;п]?? відповідь числом!
Ответы
Автор ответа:
1
Розв'язок у прикріпленому файлі
Приложения:
justsawerty:
Бажаю успіхів, чекаю на запитання :)
Похожие вопросы
Предмет: История,
автор: g72947300
Предмет: Українська мова,
автор: kovalevskayatatyana5
Предмет: Физика,
автор: nikita777gus
Предмет: Физика,
автор: vidyaakina06
Предмет: Русский язык,
автор: Aiiana