Предмет: Алгебра,
автор: 345dimon345
100 балів даю за вірну відповідь
Приложения:
Ответы
Автор ответа:
1
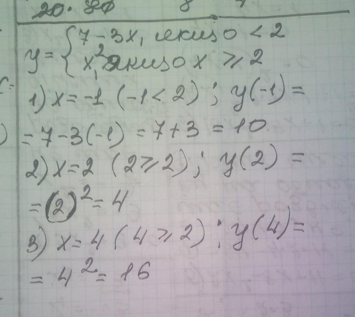
Ответ:
решение смотри на фотографии
Приложения:
Похожие вопросы
Предмет: Математика,
автор: Kensowerss
Предмет: Литература,
автор: taymanovaaruzhan
Предмет: Химия,
автор: safinaatakhodjaeva20
Предмет: Химия,
автор: Fioletova
Предмет: Литература,
автор: umka44911gmailcom