Предмет: Алгебра, автор: wellzmine

упростить выражение, помните решить, срочнооооооо​

Приложения:

Ответы

Автор ответа: сок111213
0

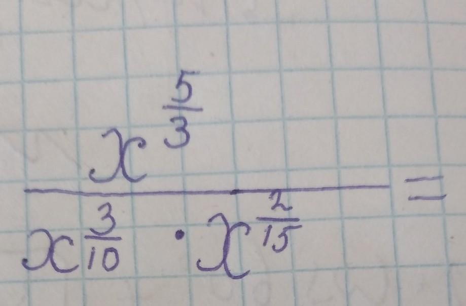
 \frac{ {x}^{ \frac{5}{3} } }{ {x}^{ \frac{3}{10} }  \times  {x}^{ \frac{2}{15} } }  =  {x}^{ \frac{5}{3}  -  \frac{3}{10} -  \frac{2}{15}  }  =  {x}^{ \frac{50}{30} -  \frac{9}{30}  -  \frac{4}{30}  }  =  \\  =  {x}^{ \frac{37}{30} }  =   \sqrt[30]{ {x}^{37} }

Похожие вопросы
Предмет: Другие предметы, автор: Mikedsan
Предмет: Математика, автор: altynai38
Предмет: Алгебра, автор: umurbekovaaazan