Предмет: Математика,
автор: mulan1997
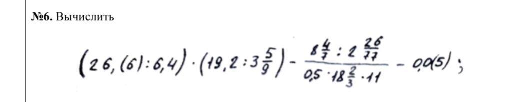
Нужно вычислить с периодическими дробями)
Желательно на бумаге)
Приложения:
Ответы
Автор ответа:
0
вроде правильно,ну точно не знаю насколько,но мне ставят хорошие оценки по этому приложению кстати приложение называется photomath
Приложения:
mulan1997:
Я уже забивала туда этот пример, неправильно решает
блин
прости
ну я сделала то что в моих силах(
Ничего)) я уже решила)
Похожие вопросы
Предмет: Українська мова,
автор: Аноним
Предмет: Українська мова,
автор: Abbacchio3
Предмет: Қазақ тiлi,
автор: suryginad744
Предмет: Математика,
автор: ramilsagadiev4
Предмет: Химия,
автор: yuragg333