Предмет: Математика,
автор: vikawiktoria123
ДОПОМОЖІТЬ ПЖ ДАЮ 40 БАЛІВ !!!!!
Приложения:
Ответы
Автор ответа:
1
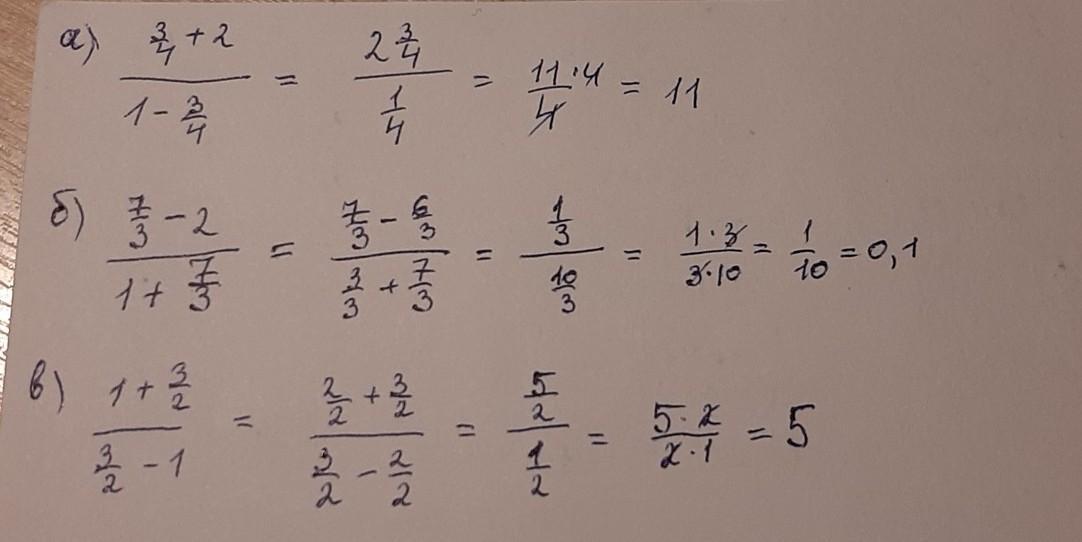
Решение на прикреплённой фотографии
Приложения:
Похожие вопросы
Предмет: Литература,
автор: savinova2402
Предмет: Математика,
автор: varaborodavko52
Предмет: Математика,
автор: kanatkenzhebaev79
Предмет: История,
автор: simsa06
Предмет: Математика,
автор: britvindima064