Предмет: Математика,
автор: sashaprystupa777
Срочно сделайте пожалуста
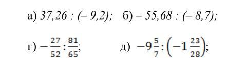
Приложения:
Ответы
Автор ответа:
1
Пошаговое объяснение:
а) 3726:(-920)= -4.05
б) -5568 : (-87) = 64
г) -1755/4212 = -0.416
в) -9 20/28 : (-1 23/28) =9 280/644= 9.23
Похожие вопросы
Предмет: Математика,
автор: yaslynjko
Предмет: История,
автор: babasdenis039
Предмет: Математика,
автор: jojodio964
Предмет: История,
автор: lenagerghik94