Предмет: Математика, автор: taalaybekoa

5) 18,63: 0,15+(23,1-4,2) * 6,1 =

Ответы

Автор ответа: ilias2046
0

Ответ:

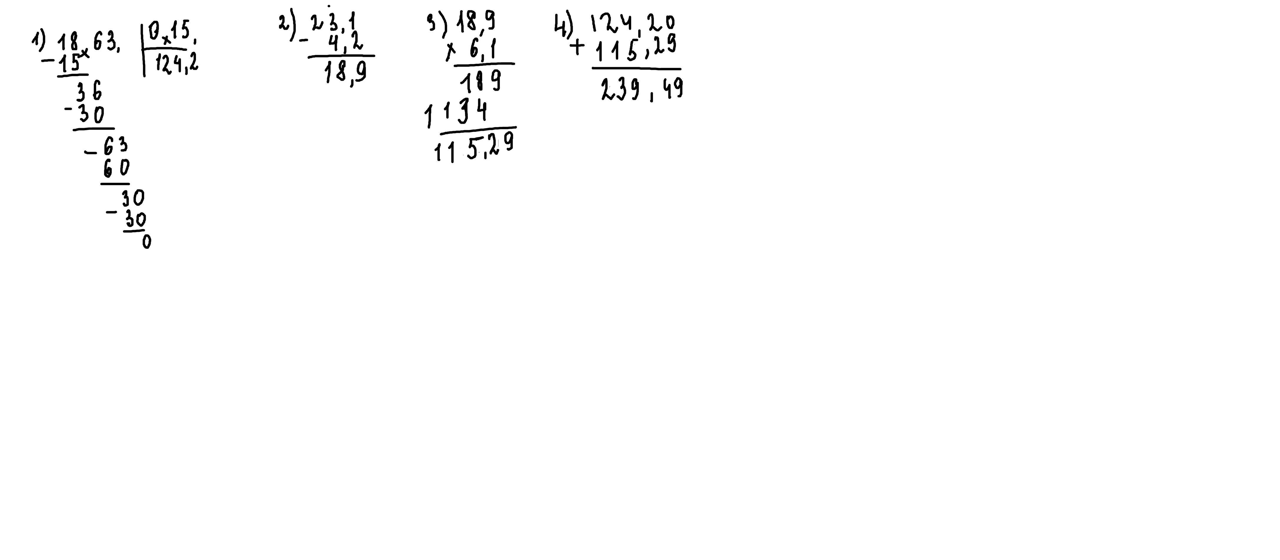
(буду по действиям)

1)23,1-4,2=18,9

2)18,63: 0,15=124,2

3)18,9 * 6,1=115,29

4)124,2+115,29=239,49

Автор ответа: parus77
0

Ответ:

239,49

Пошаговое объяснение:

решение по действиям внизу

Приложения:
Похожие вопросы
Предмет: Русский язык, автор: veradsef
ПОМОГИТЕ ОЧЕНЬ СРОЧНО!! РУССКИЙ ЯЗЫК
Подчеркните однородные члены. Обобщающее слово отметьте специальным знаком:

1.) Всюду: и в поле, и в саду – кипела работа.

2.) В безграничной тайге суровые северяне: лиственница и голубика – жили в теснейшем соседстве.

3.) Ни справа и ни слева, ни на воде, ни на берегу никого не было.

4.) И всё по-своему прекрасно: и молодая берёзовая рощица, и могучий столетний дуб.

5.) Гости говорили о многом: о природе, о собаках, о пшенице, о жеребцах.

6.) Разве все эти вещи: карандаши, записная книжка, часы – не говорят лучше всяких слов об интересном госте?

7.) Всюду: в саду, на терассе, в комнатах дома – слышался смех.

8.) Однажды вздумалось друзьям в день жаркий побродить: по рощам, по лугам, и по долам, и по горам.

9.) Мне казалось, что всё это: и крики разносчиков, и заводские гудки, и торопливые свистки паровозов – имеет отношение к моему приезду.

10.) Белые облака, лес, тянувшийся по сторонам, дороги, – всё радовало глаз.