Предмет: Математика,
автор: Glebhor
СРОООЧНО ДАЮ 55 БАЛОВ!!!!!
РЕШЕНИЕ!!!!
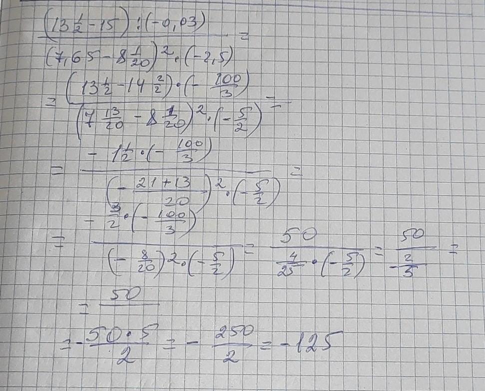
(13 1/2-15)÷(-0,03)
------------------------------
(7,65-8 1/20)²×(-2,5)
Ответы
Автор ответа:
1
Ответ:
-125
Пошаговое объяснение:
решение
на листочке
Приложения:
iramazurk:
неправильно
если это 2 отдельных примера,то да,если один,то верно.Пусть автор ответит
это один пример. дробь
да,вы правы,я нашла свою ошибку,сейчас исправлю Спасибо
бывает)))
Автор ответа:
1
Ответ:
-125
Пошаговое объяснение:
1) 13 1/2 - 15 = 13,5 - 15 = -1,5
2) -1,5 : (-0,03) = 50
Это числитель
3) (7,65 - 8 1/20)² = (7,65 - 8,05)² = (-0,4)² = -0,4 * (-0,4) = 0,16
4) 0,16 * (-2,5) = -0,4
Это знаменатель
5) 50 : (-0,4) = -125
Это результат всего примера
Похожие вопросы
Предмет: Қазақ тiлi,
автор: katya02kp
Предмет: Українська мова,
автор: comfy0308193
Предмет: Русский язык,
автор: bayanzhaisan030482
Предмет: Математика,
автор: golovyov338
Предмет: Химия,
автор: kimdasa487