Предмет: Алгебра,
автор: DARIA5577
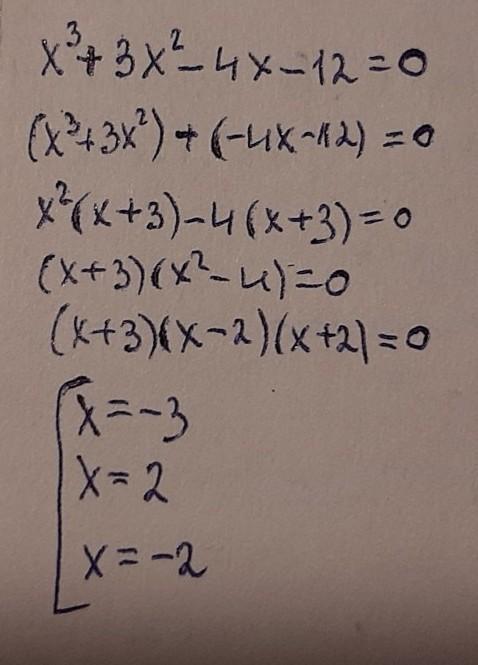
x3+3x²-4x-12=0 разложить на множители
Ответы
Автор ответа:
2
Решение на прикреплённой фотографии
Приложения:
Похожие вопросы
Предмет: Литература,
автор: nadim9729
Предмет: Английский язык,
автор: heartsgvrlx
Предмет: Математика,
автор: r99658503
Предмет: Химия,
автор: karinakorneva53
Предмет: Математика,
автор: Аноним